PubMed URL:https://pubmed.ncbi.nlm.nih.gov/39170932/
タイトル:Cardiovascular, renal and mortality risk by the KDIGO heatmap in Japan
<概要(意訳)>
主要な学習ポイント
既知の事実:
- Kidney Disease: Improving Global Outcomes(KDIGO)分類は、もともと慢性腎臓病(CKD)患者の死亡、末期腎不全、心血管死のリスクに基づいて開発されました。
- CKD患者は心血管疾患発症のリスクが高いにもかかわらず、このリスクがKDIGOリスク分類で評価できるかは不明確でした。
- KDIGOリスク分類は主に欧米からのエビデンスに基づいています。
本研究の新知見:
- 本研究では、大規模な電子カルテデータベースを用いて、心血管イベントリスク評価におけるKDIGOリスク分類の適用可能性を実証し、G2A1と比較して早期段階のG2A2およびG3aA1からリスクが有意に上昇することを示しました。
- 日本における心血管イベント、腎臓関連アウトカム、死亡リスクはKDIGOリスク分類に沿って増加することが判明しました。
潜在的な影響:
- KDIGOリスク分類に基づく患者の層別化は、CKDのより良い包括的管理に大きく貢献します。
- CKD早期段階からのイベントリスク上昇は、適切な検査を通じた早期診断と治療介入の重要性を示しています。
序論:
慢性腎臓病(CKD)の有病率は近年増加しており、世界で8億5000万人、日本では1300万人に影響を与えています。
2017年には、CKDによる死亡が世界で120万人に達し、1990年から41.5%増加しました。そのため、CKDは2040年までに世界の死因の第5位になると予測されています。
CKDは心血管合併症や透析と共に、医療ケアと費用の大きな源となっています。
CKDは初期段階では無症状ですが、腎機能は継続的に進行性に低下し、最終的に腎透析や移植が必要となる末期腎不全(ESRD)に至ります。
CKDの進行は死亡を含む心血管イベントのリスク増加とも関連しています。
CKDと心血管疾患は糖尿病、肥満、高血圧などの共通のリスク因子を持っています。
心臓と腎臓は互いの機能に影響を与え合うため、一方の臓器の臨床状態が他方に問題を引き起こす可能性があります。これは心腎症候群として知られています。
CKD管理においてこの関係を認識することが、最適な患者アウトカムにとって重要です。
Kidney Disease: Improving Global Outcomes(KDIGO)リスク分類は、推定糸球体濾過量(eGFR)と尿蛋白レベルをCKD状態の指標とするマトリックスであり、日本のCKD管理に広く使用されています。
CKDと心血管疾患の密接な関係にもかかわらず、KDIGOリスク分類が心血管疾患発症リスク評価に直接適用できるかは不明確です。
また、KDIGOリスク分類開発に使用されたエビデンスの大部分は、生活様式、遺伝学、心血管疾患の発生率において日本と大きく異なる西洋諸国から得られたものです。
日本における腎疾患リスク評価に関する利用可能なエビデンスは限られています。
さらに、CKD管理において尿蛋白測定が推奨されているにもかかわらず、先行研究では日本における尿蛋白検査率の低さが示されています。
KDIGOリスク分類には尿蛋白検査が必要であるため、この低い検査率が適切なリスク評価を妨げています。
本研究では、日本の大規模な電子カルテ(EMR)データベースを用いて、尿蛋白検査結果の有無にかかわらず、KDIGOリスク分類に基づいた主要有害心血管イベント(MACE)のリスクを調査しました。
本研究の知見はCKD管理を強化し、最終的に患者の予後と健康関連QOL(HR-QoL)の改善に寄与する可能性があります。
方法:
研究デザインとデータソース
本後ろ向きコホート研究は、健康・クリニック・教育情報評価研究所(HCEI、京都)とJMDC社(東京)が管理するリアルワールドデータベース(RWD-DB)を使用しました。
研究はヘルシンキ宣言に準拠する倫理原則に従って実施され、研究プロトコルとインフォームドコンセント免除は非営利団体MINS研究倫理委員会によって承認されました(承認番号:MINS-REC-230220)。オプトアウト方式が採用されました。
研究対象集団
360日間(eGFR確定期間)内に少なくとも90日間隔で2回連続してeGFR <90 mL/min/1.73 m²の結果が得られた個人が対象となりました。
基準を満たした2回目のeGFR測定日を指標日(2004年1月1日〜2020年12月31日)と定義しました。
日本腎臓学会のeGFRcr(本研究ではeGFRと呼称)は、以前に開発された計算式を使用して算出されました。
指標日前に最低360日間の連続登録があった18歳以上の個人が対象となりました。
KDIGOヒートマップへの分類
主要曝露はKDIGOヒートマップ内の各カテゴリーでした。
個人は指標日のeGFR値に基づいてG2〜G5のステージに分類され、eGFR確定期間中に指標日に最も近い時点で測定された尿アルブミン/蛋白レベルに基づいてA1〜A3のステージに分類されました。
定量的検査結果と試験紙法による半定量的結果(−、±、≥1+)の両方が、優先順位に従って蛋白尿カテゴリーの分類に含まれました。
尿蛋白の検査データがなかった個人は「尿蛋白検査なし」グループに分類されました。
アウトカム定義
主要アウトカムはMACEの発生で、心筋梗塞(MI)、脳卒中、心不全(HF)入院、院内死亡の複合エンドポイント(MACE1)と定義されました。
さらに、MI入院、脳卒中入院、HF入院、院内死亡の複合エンドポイントとしてMACE2を特別主要アウトカムとして設定しました。
副次的アウトカムは腎アウトカムで、腎代替療法、eGFR >50%低下、eGFR <15 mL/min/1.73 m²、CKDステージ5の診断、院内死亡の複合エンドポイントでした。
CKDステージ5のイベントを見逃さないために、eGFRと国際疾病分類第10版コードによる診断の両方が使用されました。
副次的アウトカムは、指標日時点またはそれ以前に腎代替療法を受けた、eGFR <15 mL/min/1.73 m²だった、またはCKDステージ5と診断された個人を除外した集団で分析されました。
統計解析
カテゴリカル変数は数値とパーセンテージで、連続データは欠損のない観測値の数と平均±標準偏差(SD)で表示しました。
変数について欠損値の補完は行いませんでした。
Kaplan–Meier推定量(Greenwoodの式使用)を用いて、累積イベントフリー生存率とアウトカムの95%信頼区間(CI)を分析しました。
粗発生率と95%CIはポアソン分布を仮定して各アウトカムについて計算されました。
G2A1を参照とした各KDIGOヒートマップのハザード比(HR)と95%CIは、選択された共変量で調整したCox比例ハザードモデルを用いて推定されました。
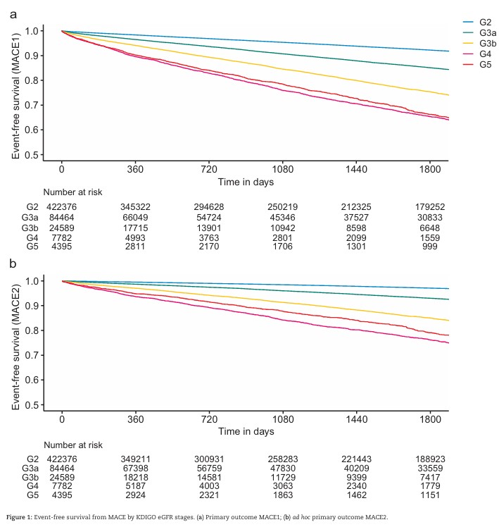
MACEの発生率(図1)
主要評価項目であるMACE1(心筋梗塞、脳卒中、心不全入院、院内死亡の複合エンドポイント)のイベントフリー生存率は、1800日間の追跡期間を通じてほぼ直線的に減少していきました(図1a)。
G4とG5の腎機能ステージ間では、全追跡期間を通じてイベント発生率に明らかな差は認められませんでした。
同様に、特別主要評価項目のMACE2(心筋梗塞入院、脳卒中入院、心不全入院、院内死亡の複合エンドポイント)においても、全eGFRステージでイベントフリー生存率は直線的に減少しました(図1b)。
MACE1とMACE2の両方において、A1(正常〜軽度増加)の蛋白尿カテゴリーではA2(中等度増加)およびA3(高度増加)よりもイベント発生が少ないことが観察されました。
G5を除くすべてのeGFRステージで、腎機能低下が進むほどMACE1とMACE2の発生率は高くなる傾向が見られました。
MACE各構成要素も同様の傾向を示しましたが、進行したeGFRステージでは特に心筋梗塞入院と脳卒中入院については非常に少数のイベントしか観察されないか、まったく観察されないケースもありました。

Clin Kidney J. 2024 Jul 30;17(8):sfae228.
MACEのハザード比(表2・表3)
基準群としてG2A1(軽度腎機能低下で蛋白尿なし)を用いた調整後のハザード比を算出しました(表2)。
MACE1のリスクはCKDステージの進行(eGFRの低下と蛋白尿の増加の両方)に伴って増加し、早期ステージのG3aA1とG2A2でもそれぞれハザード比1.16(95%信頼区間1.12–1.20)と1.17(95%信頼区間1.12–1.21)と有意なリスク上昇が認められました。
このリスクは最も進行したG5A3ステージでは2.83(95%信頼区間2.54–3.15)まで上昇しました。
MACE2のリスクも同様に早期ステージのG3aA1とG2A2でそれぞれハザード比1.17(95%信頼区間1.11–1.23)と1.35(95%信頼区間1.28–1.43)と有意に増加しました。
各MACE構成要素においても、eGFRと蛋白尿ステージの進行に伴うリスク上昇が見られました(表3)。
特に心不全入院はG4ステージで3〜5倍、院内死亡はG5ステージで約4倍と高いハザード比を示し、一般的に心筋梗塞や脳卒中よりも高いリスク上昇が認められました。
心筋梗塞入院と脳卒中入院のリスクも早期ステージG3aA1からそれぞれハザード比1.39(95%信頼区間1.11–1.73)、1.23(95%信頼区間1.10–1.37)と上昇していました。
尿蛋白検査未実施群においても、eGFRステージの進行に伴うリスク上昇がより顕著に観察されました。


Clin Kidney J. 2024 Jul 30;17(8):sfae228.
腎アウトカムの発生率(図2)
腎アウトカム(腎代替療法、eGFR50%以上低下、eGFR15 mL/min/1.73m²未満、CKDステージ5の診断、院内死亡の複合エンドポイント)のイベントフリー生存率は、1800日間の追跡期間を通じてeGFRステージの進行に伴って低下していきました。
特にG4(この分析での最も進行したステージ)では急速かつ顕著な減少が見られました。すべてのeGFRステージにおいて、蛋白尿ステージが重症化するほど(A1→A2→A3)腎アウトカムのイベント発生率は増加しました。
つまり、同じeGFRステージであっても、蛋白尿の程度によって腎予後が大きく異なることが示されました。

Clin Kidney J. 2024 Jul 30;17(8):sfae228.
腎アウトカムのハザード比(表4・表5)
腎アウトカムのリスクも早期ステージG3aA1とG2A2から有意に上昇し、それぞれハザード比1.29(95%信頼区間1.22–1.36)、1.53(95%信頼区間1.44–1.62)を示しました(表4)。
リスク上昇はMACEよりもさらに顕著で、ステージG4A1〜G4A3では腎アウトカムリスクが6〜20倍に達しました。
各腎アウトカム構成要素においても、eGFRと蛋白尿ステージの悪化に伴いリスクは増加しました(表5)。
特に腎代替療法リスクは早期ステージG2A3でも約10倍、G5A3では138倍という極めて高いハザード比を示しました。
CKDステージ5診断リスクはさらに劇的な上昇を示し、G4A3では約471倍という非常に高いハザード比が観察されました。
これらの結果は、eGFRと蛋白尿の両方がCKD患者の腎予後予測において極めて重要な指標であることを裏付けています。


Clin Kidney J. 2024 Jul 30;17(8):sfae228.
考察:
KDIGOリスク分類は、もともとCKD患者における死亡、ESRD、心血管死のリスクに基づいて開発され、主に欧米のエビデンスを基にしています。
我々の知る限り、本研究は日本で初めて、KDIGOヒートマップに基づいたeGFRと蛋白尿ステージの両方の進行に伴うMACE、ESRD、死亡率リスクの増加を示した、多数の研究参加者を含む観察研究です。
G3〜G4の対象者は以前に報告された日本のCKDコホートよりもわずかに高齢でしたが、G2とG3aの間で最大の差がある中でeGFRステージの進行に伴い平均年齢が上昇するという一貫した所見が本研究で示されました。
さらに、eGFRステージ全体の患者分布と蛋白尿の有病率は日本全体と推定される値と類似しており、本研究で調査された集団が日本の臨床現場を代表していることを支持しています。
MI、脳卒中、HF、院内死亡に関連するリスクは、MACE1とMACE2の両方でeGFRと蛋白尿ステージの進行と同時に増加しました。
このリスク増加はCKD予後コンソーシアムで報告されたものと類似していました。
進行したeGFRステージ(例えばG5A1ではイベントなし)ではMI入院と脳卒中入院についてイベントがほとんどないか全くないため不確実性は残りますが、各構成要素のリスクは複合MACEと同様の傾向を示しました。
特にHF入院の調整HRはeGFRの低下と尿蛋白レベルの悪化に伴い有意に増加し、CKD進行とHFイベントの間に強い関連があることを示唆しています。
これは日本のCKD患者におけるHF発症がeGFRステージの進行と関連しているという以前の報告と一致しています。
同じ研究では、ステージG4の総死亡率はG5よりも高いことが示されました。
蛋白尿レベルに基づいて個人を分類することにより、本研究では院内死亡の発生率と調整HRがeGFRステージの進行とともに増加し、G5で最高になることを示しました。
これらの結果はMACEに対するKDIGOヒートマップの予後評価の有用性を示し、CKDの効果的な管理のための正確な診断と併せて、KDIGOリスク分類によるリスク評価のためのeGFRおよび尿蛋白の定期的評価の重要性を強調しています。
不利な腎アウトカムのリスクもMACEの場合と同様にCKDの進行とともに増加しました。リスク増加の大きさはCKD予後コンソーシアムと比較するとやや小さいようです。
これはHR計算のための残差交絡因子によって説明される可能性があり、本研究でのリスク過小評価の可能性を示唆しています。
別の可能な説明は、生活様式、遺伝学、患者ケア、医療環境における日本とCKD予後コンソーシアムに含まれる他の国々との違いです。
それにもかかわらず、本研究でのリスク増加は明らかに高く、例えばG5A3における腎代替療法のHRは138でした。
腎イベントのリスク増加は、以前のメタ分析で裏付けられているように、蛋白尿ステージの進行に伴いより顕著になりました。
日本では糖尿病性腎症が透析の主要な原因で、約40%を占めています。
糖尿病性腎症は通常、進行性のアルブミン尿と腎機能低下を伴って発症すると考えられています。
さらに、蛋白尿自体がESRDにつながる腎機能障害の進行のリスク因子であることが以前の研究で確認されています。
本研究では、同じeGFRステージ内で蛋白尿を持つ個人の腎アウトカムHRは一般的に高くなっていました。
特に、初期ステージG2A3では腎代替療法のHRが約10倍に増加し、以前の報告通り、蛋白尿が原因に関係なくESRDの後発リスクと関連していることを示しています。
いくつかのランダム化比較試験では、尿中アルブミン減少と透析リスク減少の関連が示されており、CKD管理ガイドラインは予後評価のための尿中アルブミン測定を推奨しており、透析の必要性を軽減するための蛋白尿減少を目指した介入の重要性を強調しています。
HR-QoLの実質的な障害や介護者への負担に加え、生産性の喪失と高い医療費による経済的負担を考慮すると、多くの国が透析の必要性を防ぐよう努めています。
尿検査の重要性は明らかですが、その実施には課題が残っています。
例えば、米国の多施設観察研究では、2型糖尿病患者9307人を対象に15か月間の医療記録追跡を行ったところ、半数以上で試験紙による尿蛋白検査が実施されておらず、CKDへの認識は低いままでした。
同様に、本研究でも約40%の参加者に尿蛋白検査結果がありませんでした。
このサブグループのリスクはMACE1でG2では1.39、G5では3.18とHRが高く、リスク評価と管理最適化のための尿蛋白検査の重要性を強調しています。
KDIGOヒートマップは臨床イベントリスク評価のツールとしてだけでなく、腎臓専門医への紹介基準としても機能します。
早期紹介は進行期での紹介よりも良好な予後をもたらすと報告されています。
CKDの診断にはeGFRと尿蛋白の測定が不可欠であり、特に早期ステージG2ではeGFRデータのみではCKD診断に不十分なため、尿蛋白検査が重要です。
さらに、G2A1からG2A2への進行はG3aA1への進行よりも速いようです:G2A1の平均年齢は56.9±13.7歳、G2A2は55.6±14.9歳、G3aA1は69.2±11.5歳で、これはステージG2での尿蛋白検査の重要性をさらに支持しています。
本研究で示されているように、より簡単な試験紙検査がCKDリスク評価に有用かもしれません。
半定量的検査はスクリーニングに適用でき、その後の尿蛋白の定量的測定が望ましいでしょう。
CKDを特定することは疾患管理と進行抑制の第一歩ですが、早期ステージ(G2とG3a)でのCKD診断率は約10%と非常に低いです。
これは初期段階での臨床症状の欠如と、高齢者における腎機能低下が加齢の結果であるという一般的な誤解が組み合わさった結果かもしれません。
さらに、女性における腎機能低下の速度が遅いことが、男性よりも女性でのCKD診断率の低さの一因かもしれません。
注目すべきことに、本研究ではMACEと腎アウトカムの両方において、早期ステージ(G3aA1とG2A2)でイベントリスクが有意に増加していることが示されました。
CKDが進行するにつれて管理に必要な医療費が増加することも報告されています。
したがって、臨床的惰性は健康と経済の両面で悪影響を及ぼす可能性があります。
近年、ナトリウム・グルコース共輸送体2(SGLT2)阻害薬と鉱質コルチコイド受容体拮抗薬(MRA)が、腎臓と心血管の利益を示す多くの研究があり、CKDの有望な治療法として注目されています。
本研究では、CKDの進行に伴い心血管疾患発症リスクの増加が観察され、心腎相互作用を意識した治療の重要性が示されています。
いくつかの研究では、SGLT2阻害薬とMRAが進行を防ぐだけでなく尿蛋白カテゴリーを改善でき、これが心血管イベントリスクの減少につながることが示されています。
SGLT2阻害薬とMRAの両方がガイドラインでHFの標準治療として推奨されています。
SGLT2阻害薬であるダパグリフロジンは、2型糖尿病の有無にかかわらず、CKD患者における腎不全と心血管死亡/HF入院のリスクを減少させ、生存期間を延長します。
KDIGO 2024臨床実践ガイドラインでは、糖尿病の有無にかかわらず、蛋白尿を示すCKD患者へのSGLT2阻害薬の使用を推奨しています。
これらの治療選択肢は、腎機能低下の進行を遅らせ、心血管イベントと死亡を防ぐことが期待されています。
本研究はEMRデータベースを使用しました。
研究結果の解釈と一般化は慎重に行うべきです。
なぜなら、本研究で使用されたデータは契約医療機関から得られたものであり(つまりランダムサンプリングではない)、日本の臨床実践を完全に反映していない可能性があるからです。
また、データ内の診断は日常的に収集された健康データから導かれ、保険請求のための診断を含むため、疾患間の診断精度にばらつきがある可能性があります。
さらに、データは研究目的で収集されたものではないため、一部欠損値がありました。
特に、尿蛋白測定は必要と判断された個人にのみ実施され、KDIGOヒートマップ評価はチャネリングバイアスの影響を受ける可能性があります。
しかし、我々はこの問題を軽減するために十分な数の共変量で調整しました。
最後に、データベースは医療機関が匿名化されているため、個人が他の医療施設に転院した後のフォローアップはなく、これが本研究で検討されたアウトカムの過小評価を引き起こした可能性があります。
本研究では適格な個人がデータに一度だけ含まれていると仮定しましたが、転院後に他の施設で再登録され、重複が生じた可能性があります。
本研究は、大規模な臨床データベースを用いて、日本における心血管イベントと腎アウトカムのリスク評価におけるKDIGOリスク分類の適用可能性を初めて実証したものです。
イベントリスクはCKDの早期段階(G3aA1、G2A2)から増加しており、適切な検査を通じた早期診断と治療介入の重要性を示しています。
これらの知見は、臨床実践でのCKD管理を強化することにより、イベント減少と健康関連QOL(HR-QoL)の改善に貢献する可能性があります。