PubMed URL:https://pubmed.ncbi.nlm.nih.gov/32726151/
タイトル:Body Mass Index and Risk for Intubation or Death in SARS-CoV-2 Infection
<概要(意訳)>
背景:
肥満は、肺炎と急性呼吸窮迫症候群(ARDS)の危険因子である。
本研究では、肥満のCOVID-19入院患者が、気管挿管、または死亡、炎症(C反応性蛋白、赤血球沈降速度)、心筋障害(高感度トロポニン)、または線溶(D-ダイマー)の影響に関連しているかどうかを後ろ向きに調査した。
方法:
ニューヨーク市の病院にCOVID-19で入院した成人患者2,466人は、45日以上入院し、少なくとも47日以上の院内観察を行った。
主要評価項目は、生存時間分析における「気管挿管、または死亡の複合」とした。
結果:
入院期間の中央値は、7日(四分位範囲:3〜14)で、533人(22%)が気管挿管され、627人(25%)が死亡し、59人(2%)が入院継続となった。 入院28日以内の死亡は、559人(23%)であった。
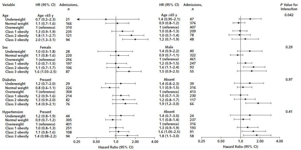
CoxモデルによるBMIと「気管挿管、または死亡リスク」との関連には、Jカーブが認められ、変曲点はBMI 30であった。

Ann Intern Med.2020 Jul 29.doi:10.7326/M20-3214.
肥満(BMI 25-29.9)と比較して、肥満クラス1(BMI 30-34.9)、2(BMI 35-39.9)、3(BMI≧40)における「気管挿管、または死亡リスク」は上昇し、肥満クラス3のリスクは有意に高かった[HR 1.6(95%CI 1.1〜2.1)]。

Ann Intern Med.2020 Jul 29.doi:10.7326/M20-3214
層別解析によるBMIと「気管挿管、または死亡リスク」との関連は、65歳未満と65歳以上の年齢で差異が認められた(交互p=0.042)が、性別、糖尿病、または高血圧では交互作用が認められなかった。

Ann Intern Med.2020 Jul29.doi:10.7326/M20-3214.
炎症、心筋障害、線溶のバイオマーカーとBMIには、関連が認められなかった。
結論:
肥満は、65歳未満のCOVID-19患者の気管挿管、または死亡リスクの増加と関連していたが、65歳以上のCOVID-19患者においては、その関連が認められなかった。
今後は、COVID-19患者の肥満と呼吸不全に関連している潜在的メカニズムを評価する追加調査が必要だろう。