PubMed URL:https://pubmed.ncbi.nlm.nih.gov/38953868/
タイトル:Risk factors for chronic kidney disease progression over 20 years for primary prevention in Japanese individuals at a preventive medicine research center: Focus on the influence of plasma glucose levels
<概要(意訳)>
序論:
慢性腎臓病(CKD)は、末期腎不全への進行リスク、心血管イベントの悪化、全死亡率の増加のため、世界的に非常に重要な問題として認識されています。
糖尿病は世界的にCKDの主要な原因であり、糖尿病の存在はCKDが腎代替療法を必要とする慢性腎不全へ進行する強いリスク因子です。
CKD発症のリスク因子に関していくつかのモデルが提案されています。
Tangriらは最初に8項目を提案し、当初は年齢、性別、推定糸球体濾過量(eGFR)および尿中アルブミン・クレアチニン比を含み、後に血清カルシウム、リン、重炭酸塩、アルブミン値も含めました。
糖尿病性腎臓病(DKD)は、高血糖値が臨床的にCKDの主な原因である場合に糖尿病患者で診断されます。
DKDの中でも古典的な糖尿病性腎症は、持続的なアルブミン尿、eGFRの低下、10年以上の糖尿病歴、網膜症を伴います。
しかし2型糖尿病では発症時期が不明確なことが多く、診断時にはすでにDKDが存在している可能性があります。
米国糖尿病学会のガイドラインでは「糖尿病性腎臓病」という用語を使用し、KDIGOガイドラインでは「糖尿病と慢性腎臓病」という用語を使用しています。
糖尿病患者における腎症を含む細小血管症の予防に関する臨床試験では、DCCT/EDIC試験は1型糖尿病に焦点を当て、UKPDS、熊本スタディ、ADVANCE、ACCORD、VADTの研究は2型糖尿病に焦点を当てました。
これらの研究により、厳格な血糖コントロールが基本的にDKDを含む細小血管症の進行を抑制できることが示されました。
さらに、食事と運動、血糖値、血圧、脂質異常症コントロールの多因子介入によって腎症の進行を予防できること、ACE阻害薬やアンジオテンシンII受容体拮抗薬が尿中アルブミンの増加と腎不全への進行を抑制することが報告されています。
近年ではナトリウム-グルコース共輸送体2阻害薬やグルカゴン様ペプチド-1アナログ製剤のDKDおよびCKDへの効果も報告されています。
アルドステロン受容体拮抗薬であるフィネレノンも腎症を抑制します。
前述のように、CKDに対する治療薬の進歩は目覚ましいものがあります。
しかし、CKD発症のリスク因子、特に血糖値と長期的なCKD発症予防に焦点を当てた臨床報告はあまり多くありません。
CKD発症前のリスク因子の特定、患者の選択、生活習慣の改善による介入は、医学的治療でも疾患の進行を完全に抑制できないことを考えると非常に重要だと考えています。
さらに、CKD発症に関連する因子は、遺伝的要因だけでなく、その国の生活習慣に大きく影響されるという考えがあります。
長期間にわたるリスク因子の分析は価値があるでしょう。
このため、旭中央病院(千葉県旭市)の予防医学研究センターでは、CKD悪化の進行につながる因子を調査し、20年間でeGFR≤30 mL/minに進行した患者としなかった患者を比較することで予後因子を明らかにしました。
方法:
2003年1月から2006年12月までに当院予防医学研究センターで健康診断を受けた5,507名のうち、eGFR<60 mL/min/1.73m²の患者485名とフォローアップ期間が15年未満の参加者2,847名を除外し、合計2,175名を対象としました。
観察期間中に死亡が発生することを考慮したFineとGrayモデルを用いて、20年間の観察期間中にeGFRが30 mL/min未満になった日をイベントとし、ベースラインの各種因子がeGFR 30 mL/min未満になるリスクに及ぼす影響を計算しました(図1)。

J Diabetes Investig. 2024 Oct;15(10):1434-1443.
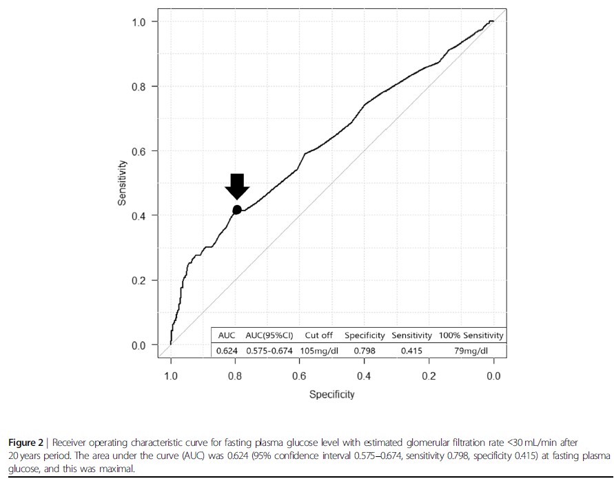
20年後のeGFR<30 mL/minのリスクに関する空腹時血糖値(FPG)のROC曲線を検討しました。
年間の変化量はベースラインのeGFR値と15〜20年後のeGFR値から計算しました。
各濃度群の傾きの平均値を計算し、FPG<96 mg/dL群とHbA1c<5.5%群をスチューデントのt検定で比較しました。
FPG値に基づいてeGFR<30 mL/minのハザード比とeGFR低下の傾きを調査しました。
さらに、ベースラインeGFR>95 mL/minの個人におけるFPG値がCKD進行に与える影響をFineとGrayモデルを用いて検討しました。
脂肪肝は腹部超音波検査で診断されました。
肝腎エコーコントラスト、肝輝度、深部減衰、血管不鮮明の4基準を肝臓専門医が評価しました。
糖尿病は、FPG≥126 mg/dLおよびHbA1c≥6.5%(46.57 mmol/mol)、または医師による自己申告診断、および/またはインスリンや経口抗糖尿病薬の服用に基づいて診断されました。高血圧は収縮期血圧≥130 mmHgまたは拡張期血圧≥80 mmHgに基づいて診断されました。肥満は日本の標準カテゴリーに基づき、BMI≥25 kg/m²と定義されました。
脂質異常症は、LDLコレステロール≥140 mg/dL、HDLコレステロール<40 mg/dL、または空腹時トリグリセリド≥150 mg/dLに基づいて診断されました。
現在および過去の喫煙者は「喫煙者」、喫煙したことがない人は「非喫煙者」と定義されました。
統計解析
FPG値がeGFR<30 mL/minへの低下に与える影響、およびFPGとHbA1cがeGFR/年の傾きに与える影響を検討するためにFineとGrayモデルを使用しました。
因子を抽出し、多変量解析を行って各因子の独立性を評価しました。
多変量解析では、ステップワイズ法によって因子を選択しました。
ベースラインeGFR>95 mL/minの個人におけるFPG値のCKD進行への影響はFineとGrayモデルを用いて調査しました。
結果:
図1は本研究のフローダイアグラムを示しています。
最終的に2,175名の参加者が分析対象となりました。
ベースライン特性を表1に示します。

J Diabetes Investig. 2024 Oct;15(10):1434-1443.
20年後のeGFR<30 mL/minの単変量解析では、ベースラインのeGFR値に基づいて、有意な因子は60歳以上の年齢(P<0.001)、男性(P<0.05)、肥満(P<0.001)、eGFR(P<0.05)、FPG値(P<0.001)、HbA1c値(P<0.001)、糖尿病(P<0.001)、脂質異常症(P<0.05)、高血圧(P<0.05)、脂肪肝(P<0.05)、腎嚢胞(P<0.05)、尿蛋白(P<0.01)でした。
長期観察においてFPGがeGFR<30 mL/minへの発症リスクと強い相関があることに注目し、20年後のeGFR<30 mL/minに対するFPG値のROC曲線を検討しました。
感度と特異度に基づいて最大のリスクを持つFPG値を計算しました。
FPG 105 mg/dLが感度と特異度に基づいて最大のリスクを持っていました。
曲線下面積は0.624(95%信頼区間0.575–0.674;特異度0.798、感度0.415;100%感度79 mg/dL)でした(図2)。

J Diabetes Investig. 2024 Oct;15(10):1434-1443.
FineとGrayモデルを用いたCKD進行(eGFR<30 mL/min)のカプランマイヤー解析を行いました。
FPG 105–125 mg/dL群(P<0.05)、126–145 mg/dL群(P<0.01)、>145 mg/dL群(P<0.01)はFPG<96 mg/dL群と比較して、eGFRが有意に30 mL/min未満に低下するリスクが増加していました(図3a)。
FPG 96–104、105–125、126–145、>145 mg/dLをFPG<96 mg/dLと比較した場合、eGFR<30 mL/minのリスクのハザード比はそれぞれ1.05(0.70–1.60、P=0.81)、1.74(1.12–2.68、P=0.013)、5.04(2.83–8.97、P<0.001)、5.42(3.25–9.05、P<0.001)でした(図3b)。
また、ベースラインFPG 105–125 mg/dLの参加者32名(9.3%)が20年間のフォローアップ期間中にeGFR<30 min/dLに進行し、最終的にeGFR<30 mL/minとなった159名のうち32名(20.1%)がFPG 105–125 mg/dLを有していました(データ未掲載)。

J Diabetes Investig. 2024 Oct;15(10):1434-1443.
eGFR値の年間変化は、FPG<96 mg/dL群で-0.73±0.78 mL/min、FPG 96–104 mg/dL群で-0.76±0.78 mL/min、FPG 105–125 mg/dL群で-0.81±0.97 mL/minでした。
FPG 126–145 mg/dL群では-1.43±1.38 mL/min、FPG>145 mg/dL群では-1.77±1.74 mL/minと他の群と比較して有意な差がありました(P<0.01;図4a)。
ベースラインHbA1c値による傾きも分析しました。
傾きは<5.5%で-0.72±0.73 mL/min、5.5–5.9%で-0.74±0.78 mL/min、6.0–6.4%で-0.82±0.94 mL/min、>6.4%で-1.28±1.45 mL/minでした。
HbA1c>6.4%群は他の群と比較して有意な差がありました(図4b)。

J Diabetes Investig. 2024 Oct;15(10):1434-1443.
eGFRが30 mL/min未満に低下した症例のeGFRの背景レベルを調査しました。
ベースラインeGFR>95 mL/min(n=323)の個人におけるFPG値のCKD進行への影響を検討しました。
背景レベルはeGFRを維持した群よりも有意に低かったものの(P<0.05;80.10±12.04 mL/min vs 80.28±11.47 mL/min、P<0.05;表1)、ベースラインeGFR>95 mL/minの個人におけるFPG値もCKD進行に有意に異なる影響を与えました(図5)。

J Diabetes Investig. 2024 Oct;15(10):1434-1443.
FineとGrayモデルでの単変量解析では、eGFR<30 mL/minへの発症リスクは、60歳以上の年齢(HR 3.55)、男性(HR 1.57)、肥満(BMI≥25;HR 2.06)、高血圧(HR 1.50)、FPG≥105 mg/dL(HR 2.61)、尿酸≥6.5 mg/dL(HR 1.48)、蛋白尿(HR 1.72)、腎嚢胞(HR 1.47)、脂肪肝(HR 1.48)によって有意に増加しました。
多変量解析では、独立したリスク因子はFPG≥105 mg/dL(HR 1.9、P<0.001)、60歳以上の年齢(HR 3.86、P<0.001)、肥満(HR 1.61、P<0.01)、尿蛋白(HR 1.55、P<0.01)でした(表2)。
CKD進行に対する最も高いハザードリスクは、60歳以上の年齢を除いて、これらの因子の中ではFPG≥105 mg/dLでした。

J Diabetes Investig. 2024 Oct;15(10):1434-1443.
考察:
CKDと生命予後の間には密接な関係があり、CKDにおける心血管疾患による死亡率は高いと広く認識されています。
したがって、CKDの進行を抑制することは生命予後の改善にとって重要であると考えています。
CKDの評価指標にはeGFRと尿蛋白があります。
進行性の動脈硬化症などの他の疾患や病態に介入するよりも、早期段階でCKDの進行に介入する方が少し容易であると考えています。
そのため、健康診断データに基づいて20年間にわたってCKDを悪化させた因子を分析し、いくつかの因子を特定しました。
年齢、肥満、尿蛋白の存在はCKDの進行因子であることが報告されています。
高血糖に関しては、本研究で、糖尿病診断の重要な値であるFPG 126 mg/dLに加えて、FPG≥105 mg/dLがCKD進行の独立した因子であることが分かりました。
FPGとHbA1cのCKD進行への影響を比較しました。
HbA1c 6.5%とFPG≥126 mg/dLは糖尿病の診断基準です。
FPG 105 mg/dLは診断基準より低いですが、これらの患者での腎機能悪化のリスクを示唆しています。
糖尿病診断のためのFPG 126 mg/dLは網膜症の発症との関連に基づいて確立されています。
本研究では、糖代謝がCKDの進行に大きな影響を与えていました。
FPGとHbA1c値は糖代謝のマーカーです。
しかし、FPG値は糖尿病の有無にかかわらず広く測定されています。
FPGとCKDの関連についての論文はあまりありません。
文献検索によると、血糖コントロール指標とCKD進行に関するいくつかの報告があります。
FPG値が2時間血糖値よりも有意に強く相関するという報告もあります。
インスリン抵抗性指標であるHOMA-IRが最も良い相関を示すという報告もあります。
これらの研究は数千人を対象としていますが、フォローアップ期間はわずか2.3〜3.3年でした。
しかし、FPG値がCKD進行やアルブミン尿の出現と関連していないという報告もあり、この研究も9,000人の3.3年間の観察でした。
これらの報告の違いは、参加者の人種や生活習慣の違い、そして本研究よりも観察期間が短いことに起因する可能性があります。
eGFRの年間低下を検討し、HbA1c≥6.5%とFPG≥126 mg/dLで有意な減少を認め、FPG値が糖尿病の有無にかかわらずCKDのリスク因子として広く考慮できることを示唆しています。
糖尿病性腎症はCKDで確定診断が難しいと考えられており、CKDと糖尿病を持つ患者にはDKDが世界的に使用されています。
耐糖能障害と空腹時血糖障害は糖尿病発症予防の重要なターゲットであり、これらの患者ではすでに心血管障害の発症が進行していることが報告されています。
CKDについては、軽度のFPG上昇が心血管疾患と同様に進行すると予測されます。
本研究では、FPG<126 mg/dLであっても、肥満などに対する生活習慣の修正などの介入がCKDの進行を一定期間抑制するのに有用であることを示しました。
高血糖のCKD悪化への影響は、糖尿病発症に寄与するさまざまな因子と関連している可能性があります。
以前の研究では、男性の高フェリチン血症と女性の低アディポネクチン血症が最終的に15年後の糖尿病発症に寄与することを報告しました。
これらの因子はCKDの進行に部分的に責任がある可能性があります。
血糖値以外のCKD発症に関与する因子に焦点を当てた過去の報告があります。
症例数は多くありませんが、平均15.6ヶ月にわたって行われた多変量解析では、高コレステロール血症、低アルブミン血症、低いベースラインeGFR、高血圧などがCKDの進行において有意な因子であることが示されました。
しかし、これらの因子の中で、糖尿病の存在はHR 2.8でした。
さらに、2型糖尿病の急速なeGFR低下者に関する研究では、8年間の日本の1,407名の患者を対象とした研究で、アルブミン尿やeGFR≥120 mL/minがあっても、急速な進行が起こる可能性があるため、注意が必要であると報告されています。
これらの報告は、横断的分析だけでは明らかにできない因子が存在することを示唆しています。
日本では、約1年間の期間にわたる360万件の健康診断を分析した急速低下因子に関する論文が報告されています。
この報告によると、患者の21%が糖尿病を持ち、腎機能の急速な悪化につながる因子は高血圧、高血糖値、尿中タンパク質の増加でした。
日本の別の報告では、DKDを持つ2,385名の個人が4年間観察されました。
患者の14%が急速な進行を示しました。
高齢、高eGFR値、高アルブミン尿、高血圧がより低いeGFRと関連していることが示されました。
しかし、最近の報告では、基本的なGFRと腎機能悪化は無関係である可能性が示されています。
本結果に基づいて、ベースラインeGFRとeGFR<30 mL/min(20年後)の症例の分布も調査しました。
ベースラインeGFRが高い患者の間でeGFRの進行が多く発生していることがわかりました。
この結果は、20年後の進行がベースラインeGFR値だけでは予測できないこと、さまざまな因子の分析が重要であることを示唆していると考えています。
本論文では、進行する可能性が高い患者に早期段階で選択的に介入することが重要であることを提案しています。
本研究は他の先行研究と同様に臨床的に重要です。
私たちは、FPG 105–125 mg/dLの前糖尿病がCKD進行のリスク因子であることを新たに報告します。
この基準を持つ患者には基礎となるインスリン抵抗性があることを示唆しています。
これがBMIとは無関係に独立していることは、肥満以外の他の因子の存在を示唆しています。
したがって、インスリン抵抗性の存在による腎関連代謝因子、サイトカインなどがCKDの進行に関与している可能性があります。
最近の研究では、翻訳後修飾であるエピゲノムが高血糖とCKDの発症に責任があり、軽度のFPG上昇もCKDの悪化に関与している可能性があります。
研究者らは、血糖値の上昇によるCKD発症には酸化ストレスが重要であるとも報告しています。
これまでに、肥満とインスリン抵抗性がCKDの進行と相関しているという多くの報告があります。
例えば、胃の手術後の腎臓への影響は、肥満改善における腎臓への効果として興味深いものです。
報告によると、術前の糸球体過濾過の影響のためにGFRが改善するかどうかは明確に評価されていません。
しかし、肥満の改善が尿中アルブミン、蛋白尿、末期腎疾患への進行を改善するという報告もあります。
もちろん、肥満手術によって、糖尿病の寛解や通常のCKDの代謝指標の改善が一般的に期待できることが報告されています。
予想外に、本研究の多変量解析では高血圧はeGFR<30 mL/minの有意なリスク因子ではありませんでした。
本研究では、20年間にわたって特に降圧薬などのCKDに対する医学的治療の証拠が実質的に蓄積され、これらの介入が実施された可能性があると考えています。
したがって、多変量解析において高血圧や脂質異常症がCKD進行の有意な因子として残らなかった理由の一つであると考えており、現在の研究はCKDの発症や進行を予防するための降圧療法の重要性を否定するものではありません。
糖尿病に対する治療薬の最近の進歩により、ナトリウム-グルコース共輸送体2阻害薬やグルカゴン様ペプチド-1受容体作動薬の使用が可能になり、それぞれが腎臓病の治療に有用です。
本研究の観察期間の大部分では、これらの薬剤は患者が糖尿病を持っていても使用できませんでした。
ベースライン時の参加者の90%以上が糖尿病を持っておらず、ナトリウム-グルコース共輸送体2阻害薬は2014年に日本で発売され、2022年9月にCKDに承認されたため、この観察期間中のこれらの薬剤の効果は小さかったと考えています。
したがって、ベースラインFPGとHbA1c値のCKD進行への影響は、本研究の観察期間中に比較的正確にフォローアップされたと考えています。
最近の興味深いメタアナリシス論文では、従来の生活習慣介入による孤立性空腹時血糖障害患者の糖尿病予防は困難であり、薬物療法が必要かもしれないと報告されています。
本研究にはいくつかの限界があります。
第一の限界は、本研究にリストされたベースラインリスク因子が20年前のものであることです。
したがって、その間の疾患の進行状況は不明であり、生活習慣行動や医学的治療に関する情報はありませんでした。
第二の限界は、長い間重要と考えられてきた遺伝的背景や家族歴が明らかにされていないことです。
CKDの進行に対する薬物療法の最近の進歩と更新されたKDIGO 2022治療ガイドラインにより、将来的に末期腎疾患への進行を抑制することが期待されています。
しかし、医療費の増大を考えると、CKDの進行リスク因子を多く持つ正常腎機能の人々において、生活習慣の変更やその他の介入を通じてCKDへの進行を抑制することは非常に重要であると考えています。
結論として、CKDなしの健康診断参加者において、糖尿病、年齢、肥満、蛋白尿の存在は20年間にわたってステージ4 CKDへの進行の基礎となる因子でした。
これらのリスク因子は以前にも報告されています。
現時点では、FPG≥105 mg/dLは糖尿病のない患者でもCKDの進行に対する独立したリスク因子であることを提案します。
これはCKD進行のリスクとして介入する因子の一つです。
20年間にわたって維持されていても、eGFRレベルが低下するケースがあり、これらの因子の解明は今後の課題として残ります。