PubMed URL:https://pubmed.ncbi.nlm.nih.gov/39792538/
タイトル:Cost-Effectiveness of Empagliflozin in CKD with or without Albuminuria
<概要(意訳)>
序論:
レニン-アンジオテンシン系阻害薬による従来の治療に加えて、2種類のナトリウム-グルコース共輸送体2(SGLT2)阻害薬が慢性腎臓病(CKD)治療に有効であることが示されています。
「ダパグリフロジンと慢性腎臓病における有害転帰の予防(DAPA-CKD)試験」は、eGFRが25~75 ml/min/1.73m²、尿中アルブミン/クレアチニン比(UACR)が200~5000 mg/gのCKD患者におけるダパグリフロジンの有効性を示した最初の大規模臨床試験でした。
より最近では、「エンパグリフロジンによる心臓と腎臓の保護に関する研究(EMPA-KIDNEY)試験」が、eGFRが20~45 ml/min/1.73m²、または45~90 ml/min/1.73m²でUACRが≥200 mg/gのCKD患者において、エンパグリフロジンが腎疾患の進行抑制と全原因入院の減少に有効であることを実証しました。
特筆すべきは、EMPA-KIDNEY試験がUACR<200 mg/gの患者も登録したことです。
これらの有望な結果にもかかわらず、SGLT2阻害薬がCKD患者に広く処方されるのを妨げている障壁の一つは、その高価格であり、これが社会福祉に大きな経済的負担となり得ることです。
費用対効果分析は、限られた医療資源を効果的に活用する手段として注目されています。
糖尿病性、非糖尿病性、または全体的なCKDに対するダパグリフロジンの以前の分析のほとんどは、ダパグリフロジンによる治療が費用対効果に優れていると結論づけています。
エンパグリフロジンも駆出率が低下した心不全や糖尿病性腎臓病の治療において費用対効果が高いことが示され、英国では心不全と糖尿病の患者に対して償還が認められています。さらに、別の研究では、エンパグリフロジンは糖尿病患者とCKD進行予防においてダパグリフロジンよりも経済的価値が高いと結論付けています。
しかし、CKDに対するエンパグリフロジンの費用対効果についてはほとんど知られていません。
EMPA-KIDNEY研究でUACRの低いCKD患者が登録されたことにより、アルブミン尿のサブカテゴリーに基づいた費用対効果を評価することが可能となりました。
しかし、我々の知る限り、eGFRとUACRに基づいたサブカテゴリーでのCKD治療におけるエンパグリフロジンの費用効用分析を行った研究はありません。
そのため、本研究では、eGFRとUACRに基づいて分類された日本のCKD患者におけるエンパグリフロジンの費用対効果を決定しました。
方法:
モデル
日本におけるCKDの標準治療にエンパグリフロジンを追加する費用対効果を評価するために、経済的マルコフモデルを構築しました。
エンパグリフロジン群と対照群を、日本の医療システムの観点から、20年間にわたるコストと有効性の面で分析しました(図1)。
患者は透析前の状態から始まり、腎不全(腎代替療法が必要な状態)または死亡のいずれかに移行しました。
各サイクルが1年に相当する20サイクルの5000回のシミュレーションを実施し、各治療群の平均コストと有効性を算出しました。

Clin J Am Soc Nephrol. 2025 Jan 1;20(1):50-61.
CKDに関する以前の費用対効果分析の結果は、疾病グレードベースのモデルとeGFRベースのマイクロシミュレーションの間で異なっていました。
本研究では、各患者に時間とともに減少する個別のeGFRを割り当てるeGFRベースのマイクロシミュレーションを導入しました。
イベントの可能性、コスト、効用のすべての報告値は、CKDグレードに従って以下のように分類されました:ステージG3a、eGFR≥45かつ<60 ml/min/1.73m²;ステージG3b、eGFR≥30かつ<45 ml/min/1.73m²;ステージG4、eGFR≥15かつ<30 ml/min/1.73m²;およびステージG5、eGFR<15 ml/min/1.73m²。
したがって、各時点でのeGFRに基づいて分類された患者のCKDステージ(G3a、G3b、G4、またはG5)に基づいて変数が適用されました。
モデルでは、EMPA-KIDNEY試験で有意とされたエンパグリフロジンの効果(eGFR低下の抑制と全ての原因による入院の減少)を研究結果に基づいて適用しました。
イベントの可能性は、2007年から2008年(SGLT2阻害薬が臨床使用に承認されていなかった時期)に登録された20~75歳のステージG3、G4、G5のCKD患者2966人を4年間追跡した多施設前向きコホート研究であるCKD Japan Cohort(CKD-JAC)研究に基づいていました。
腎予後がeGFRとUACRに依存するため、設計された範囲内の初期eGFRとUACRを持つコホートに対して分析が行われました。
CKDステージG3a、G3b、G4コホートでは、患者の初期eGFRは上記の範囲内でした。
しかし、eGFR<20 ml/min/1.73m²の患者におけるエンパグリフロジンの有効性を示す大規模臨床試験がないため、CKDステージG4コホートの初期eGFRの下限として20 ml/min/1.73m²が設定されました。
「アルブミン尿陰性、微量アルブミン尿、顕性アルブミン尿コホート」では、患者のUACRはそれぞれ「<30 mg/g、≥30かつ<300 mg/g、≥300 mg/g」でした。
初期eGFRとUACRの組み合わせによる9つのコホートそれぞれに対してシミュレーションが実施され、結果は増分費用効果比(ICER)として計算されました。
支払意思額(WTP)の閾値は、先行研究に従い、1質調整生存年(QALY)あたり500万円(約35,500米ドル)と設定されました。
すべての分析はTreeAge Pro 2024を使用して実施されました。
すべての分析は、東京大学人間研究室の倫理基準(No. 2023298NIe)に従って実施されました。
対象集団と介入
患者の背景データは、補足表1に示されているCKD-JAC研究から取得しました。
両治療群はガイドラインに基づく標準治療を受け、エンパグリフロジン群には10 mg/日のエンパグリフロジンが追加されました。
患者の平均年齢に基づき、20年間の観察期間が十分と考えられました。
初期eGFR<20 ml/min/1.73m²の患者はEMPA-KIDNEY研究に登録されませんでしたが、主要転帰イベント(末期腎不全、eGFRが<10 ml/min/1.73m²への持続的な低下、ベースラインからのeGFR≥40%の持続的な低下、または腎疾患関連死のいずれか)が発生するまで薬剤投与は継続されました。
正確には、eGFRが20 ml/min/1.73m²未満に低下した後に薬剤が十分な効果を発揮するかどうかは、この研究からは明らかではありません。
世界的な推奨に従って薬剤投与は透析前段階全体を通じて継続されましたが(これはコストに反映されています)、分析はeGFR 20 ml/min/1.73m²未満では薬剤効果が保証されないという前提で実施されました。
eGFRの初期値と低下率
初期eGFRは、それぞれのコホート(CKDステージG3a、G3b、またはG4)に従って一様分布に基づいて患者にランダムに割り当てられました。
eGFR低下の年間率(「eGFR slope」として入力)はUACRに基づいており(顕性アルブミン尿、微量アルブミン尿、アルブミン尿陰性の患者でそれぞれ4.42、1.64、0.88 ml/min/1.73m²/年)、CKDの自然経過を表し、各サイクル中に対照群の患者のeGFRから差し引かれました。
eGFR低下抑制におけるエンパグリフロジンの効果を表す値(「Effecte GFR」として入力)は、UACRに基づいて設定されました(顕性および微量アルブミン尿の患者でそれぞれ1.19および0.46 ml/min/1.73m²/年)。
しかし、EMPA-KIDNEY研究では、UACR<30 mg/gの患者におけるエンパグリフロジンのeGFR低下抑制効果は有意ではなかったため、これらのグループでのEffecte GFRは0に設定されました。
エンパグリフロジン群では、eGFR≥20 ml/min/1.73m²の患者に対する実際のeGFR低下率は次のように計算されました:
実際の低下率 = eGFR slope – Effecte GFR
エンパグリフロジン群のeGFRは、計算された実際の低下率によって各サイクル中に減少し、<20 ml/min/1.73m²になるまで、それ以降はeGFR slopeによって減少しました。
eGFR低下率とその差のすべての値は、エンパグリフロジン開始時の急性eGFR低下を計算中に考慮したEMPA-KIDNEY研究の総低下率の値から参照されました。
指定された閾値以下のeGFRを持つ患者は、腎代替療法の開始を意味する腎不全ステージに移行しました。表1にeGFRに関連する値を示します。
イベント
患者は、表1に示された確率に基づいて、死亡と入院の次のイベントを経験しました。
透析前ステージでは、イベント確率はCKD-JAC研究の分析に基づいていました。
エンパグリフロジン群のeGFR≥20 ml/min/1.73m²の患者における「全ての原因による入院」のハザード比をEMPA-KIDNEY試験から乗じて、「全ての原因による入院」の減少におけるエンパグリフロジンの効果を考慮しました。
上述のように、これらのコホートの患者にはeGFR低下抑制の効果が含まれていなかったため、これがアルブミン尿陰性コホートに適用された薬剤の唯一の効果でした。
腎不全患者の死亡率は、以前に報告された値に基づいていました。
エンパグリフロジンは腎不全患者におけるイベント減少を示していないため、確率は治療群間で異なることは予想されず、これらの患者の入院イベントは除外されました。
特定の期間(t)中に報告された発生率(r)は、必要に応じて、次のように年間確率(P)に変換されました:
P = 1-exp(-rt)
コスト
表1にコストデータを示します。
日本の医療システムの観点から、各サイクルのコストは患者の状態に基づいて追加されました。
透析前ステージでは、外来受診のコストが適用され、エンパグリフロジン群にはエンパグリフロジンのコストが追加されました。
薬剤の年間コストは、10 mgの錠剤1錠のコストに365を掛けて計算されました。
入院コストは、補足方法に要約されているように計算され、イベントが発生したサイクル中に適用されました。
腎不全患者の年間コストは、以前の報告に基づいて、日本での治療モダリティを受ける患者の割合で重み付けした各腎代替療法(血液透析、腹膜透析、腎移植)のコストを平均化して計算されました。
すべてのコストは、日本のガイドラインに基づき、年間2%で割り引かれました。
効用
EuroQol 5次元質問票の結果に基づくQALYsを使用して有効性を測定しました。
透析前ステージの患者には、各時点での現在のCKDステージに基づいて、先行研究に基づく生活の質(QOL)値が各サイクルに適用されました。
腎不全患者のQOL値は、以前の報告に基づいて、日本での治療モダリティを受ける患者の割合で重み付けした各腎代替療法(血液透析、腹膜透析、腎移植)の値を平均化して計算されました。
患者が入院イベントを経験した場合、QOL値はそれぞれのサイクルでのみ指定された値だけ減少しました。表1にQOL値を示します。
すべての効用は、日本のガイドラインに基づき、年間2%で割り引かれました。
シナリオ分析
モデルの妥当性を調査するためにシナリオ分析が実施されました。
EMPA-KIDNEY研究で示されたこれらのグループのeGFR低下率の絶対差(0.17 ml/min/1.73m²/年)を効果の量として使用して、エンパグリフロジンがeGFR低下を抑制した場合のUACR<30 mg/gの患者に対する分析が実施されました。
また、観察期間の長さの影響を評価するために、患者を10年または30年観察した場合の分析も実施しました。
感度分析
分析の堅牢性は感度分析を用いて評価されました。
各変数の効果は一元決定論的感度分析を用いて評価され、結果はトルネードダイアグラムに要約されました。
パラメータの不確実性の影響を評価するために、確率的感度分析が実施されました。
各変数に対して確率分布が作成され、ランダムにサンプリングされた変数の500セットが得られました。
各セットに対して5000回のマイクロシミュレーションが実施され、増分コストと有効性がプロットされました。
WTPの閾値はQALYあたり500万円に設定されました。
一元決定論的分析では、値の範囲は報告された場合は±2×SDまたは95%信頼区間、そうでない場合は可能性と効用に対しては±25%、コストと推定値に対しては±50%とされました。
確率的感度分析では、SDは報告された値、または可能性と効用に対しては平均値の1/8、コストと推定値に対しては平均値の1/4とされました。

表1の補足
この表は、費用対効果分析の「材料」となる全ての数値データを網羅しています。
- 病気の進行に関するデータ:腎機能低下の速度(正常なら年間0.88ml/min、顕性アルブミン尿があると4.42ml/minと約5倍速く悪化)
- 治療効果のデータ:エンパグリフロジンがどれだけ腎機能低下を遅らせるか(顕性アルブミン尿では年間1.19ml/min改善)
- イベント発生確率:死亡率や入院率(CKDが進行するほど高くなる)
- 医療費データ:各CKDステージの年間医療費(G3aで約34万円、G4で約79万円)、腎不全では年間600万円、エンパグリフロジンの薬剤費は年間7万円
- 生活の質(QOL)データ:健康状態ごとの効用値(完全な健康を1.0として、CKDが進行するほど低下)
この表からは、CKDが進行するほど医療費が増加し、生活の質が低下すること、また腎不全になると医療費が劇的に増加(年間600万円)することが理解できます。
エンパグリフロジンの効果は、特にアルブミン尿がある患者で顕著です。
Clin J Am Soc Nephrol. 2025 Jan 1;20(1):50-61.
結果:
基本ケース分析
表2に基本ケース分析の結果を示します。
顕性アルブミン尿コホートでは、標準治療にエンパグリフロジンを追加すると、CKDステージG3a、G3b、G4でそれぞれ541万円、205万円、33万円(38,300、14,500、2,400米ドル)のコスト低下と0.78、0.54、0.15のQALY増加が関連しており、これは優れた治療戦略であることを示しています。
微量アルブミン尿コホートでは、CKDステージG3a、G3b、G4でそれぞれ52万円、269万円、183万円(3,700、19,000、13,000米ドル)のコスト低下と0.27、0.29、0.27のQALY増加がありました。
アルブミン尿陰性コホートでは、CKDステージG3a、G3b、G4でICERがそれぞれQALYあたり934万円、775万円、2,341万円(66,200、55,000、166,000米ドル)であり、エンパグリフロジンが費用対効果に優れていないことを示しています。

表2の補足
この表は、9つの患者グループそれぞれについて、「標準治療のみ」と「エンパグリフロジン追加」の比較結果を示しています。
- コスト:20年間の総医療費(百万円)
- QALY:20年間の質調整生存年(量×質で測った寿命)
- ICER:追加1QALY獲得するために必要な追加コスト
重要な結果:
- 顕性アルブミン尿グループ:全てのCKDステージでエンパグリフロジンは「優れた治療」(医療費減少+QALY増加)
- 微量アルブミン尿グループ:全てのCKDステージでエンパグリフロジンは「優れた治療」
- アルブミン尿なしグループ:全てのCKDステージでICERが500万円/QALY以上(G3aで934万円、G3bで775万円、G4で2,341万円)となり、費用対効果がよくない
Clin J Am Soc Nephrol. 2025 Jan 1;20(1):50-61.
補足図1は20年間の観察期間後の患者の健康状態を示しています。
透析前ステージに残っている患者はいませんが、顕性アルブミン尿コホートではエンパグリフロジン群でより多くの患者が生存していました(補足図1、A-C)。
微量アルブミン尿コホートでは、エンパグリフロジンの追加により、すべてのCKDステージで死亡率が低く、CKDステージG3aおよびG3bコホートでは進行したCKDまたは腎不全の患者が少なくなりました(補足図1、D-F)。
アルブミン尿陰性コホートでは、これらのコホートではeGFR低下の抑制ではなく、エンパグリフロジンによる入院減少の効果のみが適用されたため、2つの治療群間の健康状態は同じでした(補足図3、G-I)。
一元決定論的分析
顕性アルブミン尿コホートでは、腎不全ステージの年間コストがすべてのコホートでICERに最も影響を与えました(図2Aおよび補足図2、AおよびB)。
微量アルブミン尿コホートでは、CKDステージG3aコホートではCKD G4ステージの年間コストが、CKDステージG3bおよびG4コホートでは腎代替療法開始の閾値とエンパグリフロジンによるeGFR低下抑制がそれぞれICERに最も影響を与えました(図2Bおよび補足図2、CおよびD)。
アルブミン尿陰性コホートでは、入院のハザード比がすべてのコホートでICERに最も影響を与えました(図2Cおよび補足図2、EおよびF)。
値が0.797未満、または薬剤のコストが年間49,312円未満の場合、CKDステージG3aコホートではICERがWTP閾値を下回りました(図2C)。
CKDステージG3bコホートでは、ハザード比が0.825未満、または薬剤のコストが年間55,373円未満の場合、ICERが閾値を下回りました(補足図2E)。
微量アルブミン尿または顕性アルブミン尿コホートでは、どのパラメータもQALYあたり500万円を超えるICERに関連していませんでした。

図2の補足
「もし各パラメータが変化したら、費用対効果の結果はどれだけ変わるか」を視覚的に表したもので「感度分析」と呼びます。
図の構成
3つのパネル(A、B、C)に分かれており、それぞれ異なる患者グループを表しています:
- A:顕性アルブミン尿を持つCKDステージG3a患者
- B:微量アルブミン尿を持つCKDステージG3a患者
- C:アルブミン尿のないCKDステージG3a患者
横棒の意味
各横棒は「そのパラメータが取りうる最大値と最小値の範囲で変動した場合のICER(増分費用効果比)の変化幅」を示しています。
棒が長いほど、そのパラメータが結果に大きな影響を与えます。
重要なポイント
パネルA(顕性アルブミン尿)
- 最も影響力が大きいのは「腎不全の治療コスト(c_KF)」
- 腎不全コストが高いほど、エンパグリフロジンの費用対効果は向上
- エンパグリフロジンは常に費用対効果が良い(全ての棒がWTP=5の線より左側)
パネルB(微量アルブミン尿)
- 「CKD G4の治療コスト(c_CKD4)」と「エンパグリフロジンのeGFR低下抑制効果(EffecteGFRMicro)」が重要
- これらのパラメータが変動しても、エンパグリフロジンは費用対効果が良い
パネルC(アルブミン尿なし)
- 最も影響力が大きいのは「入院のハザード比(HR_Hos)」- つまりエンパグリフロジンがどれだけ入院を減らせるか
- 非常に重要な発見:入院ハザード比が0.797未満になれば(現在の0.86から改善すれば)、アルブミン尿がない患者でも費用対効果が良くなる
- 同様に、薬剤コスト(c_Empa)が年間49,312円以下になれば費用対効果が良くなる
図2の縦軸略語
パネルA(顕微アルブミン尿患者)の略語
- c_KF: 「腎不全の年間医療費」(約600万円/年)
- 透析や腎移植などの高額医療費
- p_DeathKF: 「腎不全患者の年間死亡率」(約9.7%)
- 腎不全になった患者さんが1年間で亡くなる確率
- u_KF: 「腎不全患者の生活の質」(0.79)
- 完全に健康な状態を1.0とした場合の生活の質の評価値
- KFeGFR: 「腎不全に移行する腎機能の閾値」(eGFR 6.52)
- この値より腎機能が低下すると透析が必要になる
- EffecteGFRMacro: 「薬の腎保護効果」(1.19 ml/min/1.73m²/年)
- エンパグリフロジンがどれだけ腎機能低下を遅らせるか
- eGFRslopeMacro: 「腎機能低下の自然速度」(4.42 ml/min/1.73m²/年)
- 薬を使わない場合の腎機能低下のスピード
- c_Empa: 「エンパグリフロジンの年間薬剤費」(7万円/年)
パネルB(微量アルブミン尿患者)の略語
- c_CKD4: 「CKD重症度G4の年間医療費」(約79万円/年)
- 通院、検査、薬剤などの医療費の合計
- EffecteGFRMicro: 「薬の腎保護効果」(0.46 ml/min/1.73m²/年)
- 微量アルブミン尿の場合は大量アルブミン尿より効果が小さい
- HR_Hos: 「入院リスク低減率」(0.86)
- 薬により入院率が14%減少することを示す
パネルC(アルブミン尿なし患者)の略語
- HR_Hos: 「入院リスク低減率」(0.86)
- アルブミン尿なしの患者では、これが最も重要な効果
- c_Empa: 「エンパグリフロジンの年間薬剤費」(7万円/年)
- u_Hos: 「入院による生活の質の低下」(0.2)
- 入院すると効用値が0.2ポイント減少
- p_Hos3a/3b/4: 「各CKDステージでの入院確率」
- 腎機能が悪くなるほど入院率が上昇(G3a: 15.7%、G3b: 18.4%、G4: 23.6%)
- c_Hos3a/3b/4: 「各CKDステージでの入院コスト」
- 1回の入院にかかる医療費(約106〜117万円/回)
グラフの見方のポイント
- 縦軸にある数値と色: 各パラメータの現在の推定値と変動範囲を示す
- パラメータの不確実性の大きさを表す
- 重要な閾値:
- パネルCの「0.797」: この値よりHR_Hosが小さければ、アルブミン尿なしでも費用対効果が良くなる
- パネルCの「49,312」: この値より薬価が安ければ、アルブミン尿なしでも費用対効果が良くなる
- EV値: 基本ケース分析のICER値
- パネルA: -7.0(医療費削減+QALY増加で優れた治療)
- パネルB: -2.0(医療費削減+QALY増加で優れた治療)
- パネルC: 9.3(QALYあたり930万円で費用対効果が悪い)
この図は、「どの要素が薬の価値を最も左右するか」を示していて、医師の処方判断や薬価設定の参考になります。
アルブミン尿がある患者では腎保護効果が、ない患者では入院予防効果が重要であることがわかります。
臨床的な解釈
- アルブミン尿のある患者:エンパグリフロジンは明らかに費用対効果に優れており、パラメータの不確実性に強い(ロバスト)
- アルブミン尿のない患者:現状では費用対効果が悪いが、以下の条件が満たされれば改善する可能性:
- 薬剤価格が30%以上下がる
- 入院予防効果が現在の推定値より14%以上高い
- 将来の研究でeGFR低下抑制効果が証明される
- 医療政策への示唆:このデータは、保険適用範囲の決定や薬価交渉において重要な科学的根拠となる可能性
Clin J Am Soc Nephrol. 2025 Jan 1;20(1):50-61.
確率的感度分析
図3および補足図3はエンパグリフロジンと標準治療のICERの散布図を示しています。顕性アルブミン尿または微量アルブミン尿コホートでは、ほとんどのケースがQALYあたり500万円のICERのラインより下にプロットされました(図3、AおよびBおよび補足図3、A-D)。
しかし、アルブミン尿陰性コホートでは、ほとんどのケースがラインより上にプロットされました(図3Cおよび補足図3、EおよびF)。

図3の補足
「パラメータの不確実性を考慮したとき、費用対効果の結果がどのように分布するか」を視覚的に示す散布図です。
図の基本構成
- 横軸:増分効果(Incremental Effectiveness)、単位はQALY
- 「エンパグリフロジン追加によって得られる質調整生存年の増加」
- プラスなら健康改善、マイナスなら健康悪化
- 縦軸:増分コスト(Incremental Cost)、単位は百万円(JPY)
- 「エンパグリフロジン追加によって生じる医療費の増減」
- プラスならコスト増加、マイナスならコスト節約
- 点線:支払意思額(WTP)の閾値を表す直線(QALY当たり500万円)
- 直線より下:費用対効果が良い(社会的に受容可能)
- 直線より上:費用対効果が悪い(社会的に受容不可能)
- 散布点:異なるパラメータ値のセットでシミュレーションした結果
- 緑の点:費用対効果に優れている結果
- 赤の点:費用対効果に劣っている結果
- 楕円:結果の95%信頼区間(結果の不確実性の範囲)
象限の意味
散布図は4つの象限に分けられ、それぞれ異なる解釈があります:
- 右下の象限:「優位(dominant)」
- 健康改善+コスト節約(Win-Win)
- 最も望ましい結果
- 左上の象限:「劣位(dominated)」
- 健康悪化+コスト増加(Lose-Lose)
- 最も望ましくない結果
- 右上の象限:「トレードオフ(健康vs費用)」
- 点線より下:増加する費用に見合う健康改善
- 点線より上:増加する費用に見合わない健康改善
- 左下の象限:「トレードオフ(費用vs健康)」
- 節約される費用が健康悪化を正当化できるか
各パネルの読み方
パネルA(顕性アルブミン尿)
- 散布点の配置:ほぼ全ての点が右下の象限に集中
- 臨床的解釈:
- エンパグリフロジンは平均1QALY近い健康改善をもたらす
- 同時に約7百万円の医療費節約になる
- パラメータの不確実性に関わらず「優位」な治療
- 医学的に言えば「絶対に使うべき治療法」
パネルB(微量アルブミン尿)
- 散布点の配置:多くの点が右下の象限、一部が右上の象限(点線より下)
- 臨床的解釈:
- 健康改善は平均0.5QALY程度
- 医療費は平均すると節約だが、一部のケースでは増加の可能性
- ほぼ全てのシナリオで費用対効果に優れている
- 医学的に言えば「基本的に使うべき治療法」
パネルC(アルブミン尿なし)
- 散布点の配置:ほとんどの点が右上の象限(点線より上)
- 臨床的解釈:
- 健康改善は小さい(平均0.1QALY程度)
- ほぼ全てのケースで医療費増加(約0.7百万円)
- 多くのシナリオで費用対効果が悪い
- 医学的に言えば「慎重に検討すべき治療法」
実臨床での応用
- 治療選択の個別化:
- 大量アルブミン尿患者:迷わずエンパグリフロジンを使用
- 微量アルブミン尿患者:基本的にエンパグリフロジンを推奨
- アルブミン尿なし患者:他の臨床要因や患者選好を考慮して判断
- 意思決定の確信度:
- 楕円の大きさ=不確実性の程度
- パネルAの楕円:大きいが右下の象限に収まる(結論の不確かさは低い)
- パネルCの楕円:点線をまたぐ(結論の不確かさは高い)
- 特定の患者での判断:
- 実際の患者が楕円のどこに位置するか考慮
- 例:腎機能低下速度が速い患者は、右側(健康改善大)に位置する可能性が高い
Clin J Am Soc Nephrol. 2025 Jan 1;20(1):50-61.
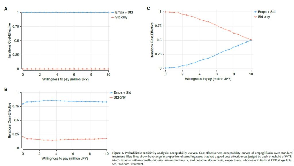
QALYあたり500万円の閾値では、顕性アルブミン尿または微量アルブミン尿コホートでエンパグリフロジンが費用対効果に優れている確率は84%を超えていました(図4、AおよびBおよび補足図4、A-D)。
アルブミン尿陰性コホートでは、確率は30%未満でした(図4Cおよび補足図4、EおよびF)。
表3に確率的感度分析の結果を示します。
シナリオ分析
観察期間が10年の場合、CKDステージG3aおよび微量アルブミン尿の患者に対するICERはQALYあたり713万円(50,600米ドル)であり、エンパグリフロジンが費用対効果に優れていないことを示しました。
CKDステージG4および微量アルブミン尿の患者に対しては、ICERはQALYあたり407万円(28,900米ドル)でした。
残りのコホートに関するエンパグリフロジンの費用対効果については、基本ケース分析と同様の結論が示されました(補足表2)。
観察期間が30年の場合も、すべてのコホートの結論は基本ケース分析と同様でした(補足表3)。
エンパグリフロジンがアルブミン尿陰性コホートでeGFR低下を抑制した場合、CKDステージG3bまたはG4コホートではエンパグリフロジンは費用対効果に優れていました。
CKDステージG3aおよびアルブミン尿陰性の患者では、ICERはQALYあたり643万円(45,600米ドル)であり、エンパグリフロジンが費用対効果に優れていないことを示唆しました(表4)。

図4の補足
「様々な支払意思額の閾値に対して、どちらの治療法が費用対効果に優れている確率が高いか」を示しています。
図の基本構成
- 横軸:支払意思額(WTP)の閾値(百万円/QALY)
- 「社会が1QALYを得るために支払ってもよいと考える金額」
- 日本では5百万円/QALYが一般的な閾値
- 縦軸:その閾値で治療法が費用対効果に優れている確率(0〜1)
- 1.0 = 100%、0.5 = 50%、0 = 0%
- 青線(Empa + Std):エンパグリフロジン+標準治療が費用対効果に優れている確率
- 赤線(Std only):標準治療のみが費用対効果に優れている確率
各パネルの読み方
パネルA(顕性アルブミン尿)
- 一目でわかる特徴:青線が確率1.0(100%)で完全に水平
- 意味:
- どのような支払意思額でも、エンパグリフロジンが費用対効果に優れている確率は100%
- パラメータの不確実性を考慮しても、結論は変わらない
- 医学的に言えば「治療効果は絶対的に確実」
パネルB(微量アルブミン尿)
- 一目でわかる特徴:青線が約85%で水平に近い
- 意味:
- エンパグリフロジンが費用対効果に優れている確率は約85%と高い
- わずかな上下動はあるが、結論の信頼性は高い
- 医学的に言えば「治療効果はかなり確実」
パネルC(アルブミン尿なし)
- 一目でわかる特徴:青線と赤線が交差する形状
- 意味:
- WTPが低い場合(5百万円未満):標準治療のみが優れている確率が高い(>70%)
- WTPが高い場合(10百万円付近):両治療の確率が接近(約50%ずつ)
- 医学的に言えば「現在の薬価では費用対効果が悪い」
重要な数字
- パネルC:WTPが8〜9百万円/QALYで青線と赤線が交差
- この金額を「社会が許容できる」と判断すれば、アルブミン尿なし患者へのエンパグリフロジン使用も正当化できる
- つまり「日本の閾値の約1.6〜1.8倍の支払い意思額」があれば、全CKD患者に使用可能
この図は「治療効果の確実性」を示す非常に重要な情報源であり、医療資源の効率的配分を考える上で、単なるICER値よりも実用的な指標と考えられる。

Clin J Am Soc Nephrol. 2025 Jan 1;20(1):50-61.

表2の補足
この表は「もしエンパグリフロジンがアルブミン尿のない患者でも腎機能低下を抑制する効果があれば?」という仮説的シナリオの結果です。
- 実際のEMPA-KIDNEY試験ではアルブミン尿のない患者での腎保護効果は証明されなかったが、もし効果があった場合の分析
- 腎機能が低下している患者(G3b、G4)では費用対効果が改善し、「優れた治療」または「費用対効果あり」となる
- 腎機能がまだ比較的良好な患者(G3a)では、依然として費用対効果が悪い(ICER 643万円/QALY)
この表は、エンパグリフロジンの費用対効果が「アルブミン尿の有無」だけでなく「腎機能の程度」にも依存することを示唆しています。
腎機能が低下している患者ほど、腎保護効果によるメリットが大きくなります。
Clin J Am Soc Nephrol. 2025 Jan 1;20(1):50-61.
考察:
標準治療と比較して、エンパグリフロジンの追加は、分析されたすべてのCKDステージにおいて、顕性アルブミン尿または微量アルブミン尿の患者では費用対効果に優れていましたが、アルブミン尿のない患者では費用対効果に優れていませんでした。
一元感度分析により、顕性アルブミン尿または微量アルブミン尿コホートでの費用対効果に寄与するほとんどのパラメータがeGFR低下と腎不全に関連していることが明らかになりました。
これは、CKDの進行または腎不全への移行を抑制するエンパグリフロジンの効果が、入院を減少させる効果よりも費用対効果に大きな影響を与えることを示唆しています。
進行したCKDまたは腎不全を発症するリスクが高い患者は薬剤からより多くの恩恵を受けます。
これは、有意なアルブミン尿を持つ患者の中でリスクが最も低いCKDステージG3aおよび微量アルブミン尿の患者では、短い観察期間では費用対効果に優れていなかった結果を説明しています。
また、シナリオ分析でアルブミン尿陰性患者のeGFR低下を薬剤が抑制した場合、費用対効果が初期eGFRに依存することも合理的です。
CKD治療におけるダパグリフロジンの費用対効果を評価した過去の研究のほとんどは、ダパグリフロジンが幅広いCKDの範囲で費用対効果に優れていると結論づけています。
我々の知る限り、本研究はCKD治療におけるエンパグリフロジンの費用対効果を評価した最初の研究であり、また詳細なUACRに基づくサブカテゴリー別の分析も行いました。
UACRの低い患者を対象としたダパグリフロジンの費用対効果を評価した数少ない研究のうち、ある研究はUACR 30-299 mg/gの患者に対するダパグリフロジンがCKD治療において費用対効果に優れていることを示しました。
低UACRサブグループでダパグリフロジンの費用対効果を示した別の研究は、サブグループの閾値として異なる値(<200 mg/g)を使用しており、この中には本研究の分類による微量アルブミン尿と陰性アルブミン尿の両方の患者が含まれるでしょう。
本研究の結果は、UACRの高い患者に関する過去の報告と一致しており、エンパグリフロジンが費用対効果に優れているサブグループについてより詳細な知見を提供しています。
EMPA-KIDNEY研究は、Dapagliflozin and Prevention of Adverse Outcomes in Chronic Kidney Disease研究が評価しなかった有意なアルブミン尿のない患者におけるSGLT2阻害薬の有効性を評価しました。
UACRに依存したSGLT2阻害薬の有効性に関するさらなる情報は、今後の臨床試験でこれらの患者が登録された場合に得られる可能性があります。
本研究のもう一つの強みは、パラメータがCKD-JAC研究から取得されていることです。
これは糖尿病や有意なアルブミン尿のない日本人CKD患者を含む大規模かつ幅広いデータベースです。
CKD-JAC研究とEMPA-KIDNEY試験の両方が糖尿病のない、または有意なアルブミン尿のない日本人患者を含んでいることから、この分析から得られた結果は広く日本人CKD患者に適用できます。
日本人CKD患者の死亡率は西洋諸国と比較して比較的低く、腎不全を発症するリスクは死亡リスクよりも高いことが知られています。
これはCKDの有無にかかわらず糖尿病患者にも当てはまります。
これらのことから、低死亡率と結果として腎不全患者の増加が日本人患者の特徴であることが示唆されます。
我々のシミュレーションにおける標準治療群の転帰はこの傾向を反映しており、eGFRとUACRに基づくステージによるCKD予後予測のヒートマップともよく一致しています。この点において、CKD患者の10年単位での長期予後を評価する研究が、実世界のデータと直接比較するために望まれます。
本研究にはいくつかの限界があります。
第一に、すべての患者でeGFR低下率が一定であると仮定しました。平均値は大規模臨床試験から得られましたが、エンパグリフロジンの有効性は患者間で異なる可能性があります。
第二に、モデルには限られた数のイベントのみが含まれています。SGLT2阻害薬に関連する副作用(性器感染症や糖尿病性ケトアシドーシスなど)は報告されていますが、EMPA-KIDNEY研究では有意な増加を示すイベントは観察されませんでした。
そのため、これらの要因は本研究では考慮されておらず、エンパグリフロジンの有効性を過大評価した可能性があります。
心血管関連の特定のイベントの減少も統合されていません。
なぜなら、これらはEMPA-KIDNEY研究では独立した転帰として評価されなかったからです。
これらは全ての原因による入院イベントの減少として部分的に反映されていますが、過小評価されている可能性があります。
第三に、コストと効用が日本のデータから導出されているため、結果を直ちに世界的に適用することはできません。
これらの値は他の国々と異なる可能性があり、特に腎不全患者では、日本では腎移植を受ける患者は少なく、血液透析が腎代替療法の大部分を占めるため、違いがあるでしょう。
さらに、QOL値は他の国々と比較して高く、死亡率は低いという特徴があります。
これらは日本人患者特有の人種的または社会的要因に起因する可能性があり、エンパグリフロジンの有効性を低下させている可能性があります。
しかし、このメソッドは各パラメータをローカルな値に置き換えることで他の国々にも適用できます。
第四に、EMPA-KIDNEY試験の包含基準により、陰性アルブミン尿と微量アルブミン尿を持つ患者のeGFR低下率の値はeGFR 20〜45 ml/min/1.73m²の患者からのみ計算されました。
これにより、CKDステージG3aで陰性アルブミン尿または微量アルブミン尿を持つ患者に関する我々の結果にいくつかの不確実性が生じた可能性があります。
加えて、EMPA-KIDNEY試験では陰性アルブミン尿と微量アルブミン尿の患者のeGFR低下率の差は有意ではありませんでした。
第五に、我々のモデルは生涯の地平線をシミュレートしていません。
20年後も患者は異なる健康状態にあり、これは期間が延長された場合にコストとQALYの両方が異なることを示唆しています。
しかし、CKD-JAC研究とEMPA-KIDNEY試験のほとんどの患者は5年未満追跡され、90歳以上の高齢患者はこれらの研究にほとんど登録されていないと考えられます。
これにより、その期間を大幅に超えた時間や極端に高齢の患者に対するイベント率やエンパグリフロジンの有効性を外挿することが困難になります。
さらに、公表された研究で報告されたイベント率は、ベースライン時に各CKDステージにあった患者の値であったのに対し、我々のモデルでは、現在それぞれのステージにいる患者に適用されました。
これにより、特に基本ケース分析において、死亡と入院イベントの可能性が悪化した可能性があります。
しかし、参照研究と我々の分析の異なる時間地平を考慮すると、これは観察期間全体にわたって一定の値をイベント率として適用するよりも比較的適切です。
結論:
EMPA-KIDNEY試験の登録基準を満たす患者において、CKDの標準治療にエンパグリフロジンを追加することは、日本の医療システムにおいて、アルブミン尿を持つ患者では費用対効果に優れていますが、アルブミン尿のない患者では費用対効果に優れていないと判断されました。しかし、これらの特定の患者に関するさらなる研究が必要です。