PubMed URL:https://pubmed.ncbi.nlm.nih.gov/35472672/
タイトル:Safety of Empagliflozin in Patients With Type 2 Diabetes and Chronic Kidney Disease: Pooled Analysis of Placebo-Controlled Clinical Trials
<概要(意訳)>
背景:
以前、エンパグリフロジン(SGLT2阻害薬)の臨床試験プラグラムにおける大規模なプール解析を報告した。
本研究では、これらの臨床試験に登録された2型糖尿病合併CKD(重症度G3-4)の集団に関連した安全性データを報告する。
方法:
プール解析には、2型糖尿病患者を対象とした19件の無作為化二重盲検プラセボ対照試験(第Ⅰ~Ⅳ相、EMPA-REG OUTCOME 試験を含む)が含まれていた。
エンパグリフロジンの用量は、10mg/日または25㎎/日を投与、または10mg/日から25mg/日への漸増または増量を伴う試験が含まれていた。
結果:
合計15,081例がプール解析の母集団に含まれた。
ベースラインのeGFR<60 mL/min /1.73 m2は、2,367例(エンパグリフロジン10mg/日または25 mg/日を投与された1,519例、プラセボを投与された848例)であった。
CKD重症度のG3A(45~<60 mL/min /1.73 m2)、G3B(30~<45 mL/min /1.73 m2)、G4(<30mL/min /1.73 m2)は、それぞれ、1,522例、722例、123例であった。
「正常アルブミン尿、微量アルブミン尿、蛋白尿」の患者割合は、エンパグリフロジン群(66.3%、24.8%、7.7%)とプラセボ群(64.5%、25.6%、8.9%)で類似していた。
CKD重症度のカテゴリーにおける人口統計学的およびベースライン特性は、エンパグリフロジン群とプラセボ群の間で類似していた。
コホート全体およびCKD重症度のカテゴリー全体において、中止につながる重篤な有害事象および有害事象の発生率(100人/年)は、エンパグリフロジン群およびプラセボ群の間で類似していた。
「G4(<30mL/min /1.73 m2)」における重篤な有害事象の発生率(100人/年)は、エンパグリフロジン群で高かった(41.31 vs 29.93)が、患者数が少なく(71例 vs 52例)、信頼区間が広い為、解釈には注意が必要である。
コホート全体およびCKD重症度のカテゴリー全体において、特に関心のある有害事象(下肢切断、急性腎障害を含む)の発生率は、エンパグリフロジン群およびプラセボ群の間で類似していた。
例外は「性器感染症」の発生率であり、プラセボ群と比較して、エンパグリフロジン群の方が高かった(3.54 vs 0.85)。
特に、「性器感染症」の発生率は、CKDの重症度が高くなるにつれて低下した(G3A:2.75、G3B:1.78、G4:1.13)。
対照的に、大半の有害事象の発生率は、CKDの重症度と比例した。


Diabetes Care. 2022 Jun 2;45(6):1445-1452.
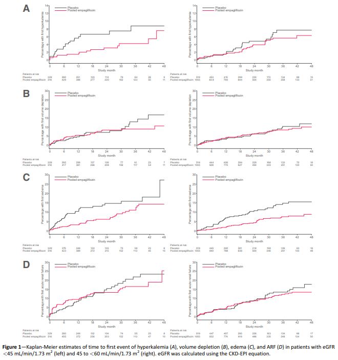
「高カリウム血症」と「浮腫」のハザード比に関しては、それぞれ、
[HR 0.59(95%CI 0.37-0.96)、p=0.03232] vs [HR 0.48(95%CI 0.26-0.91)、p=0.0243]
[HR 0.47(95%CI 0.33-0.68)、p<0.0001] vs [HR 0.44(95%CI 0.28-0.68)、p=0.0002]
となり、プラセボ群と比較して、エンパグリフロジン群の方が低リスクであることが示された。

Diabetes Care. 2022 Jun 2;45(6):1445-1452.
結論:
2型糖尿病合併CKD患者に対するエンパグリフロジン(SGLT2阻害薬)の使用による新たな安全性の懸念は示されず、むしろ、高カリウム血症および浮腫に対するリスクを軽減することが示唆された。