PubMed URL:https://pubmed.ncbi.nlm.nih.gov/33219109/
タイトル:Prognostic significance of natriuretic peptide levels in atrial fibrillation without heart failure
<概要(意訳)>
背景:
ナトリウム利尿ペプチドは、心不全(HF)患者の重要な予後マーカーである。
しかし、HFのない心房細動(AF)の患者に対するに予後的意義は、ほとんど知られておらず、日常診療では十分に活用されていない。
本研究では、伏見AFレジストリー(期間:2011年3月~2019年11月、対象:非弁膜症性心房細動患者4,376例)のサブ解析を実施した。
方法:
本研究の登録患者の内、HFのある心房細動患者は1,193例、HFのない心房細動患者は3,183例(ナトリウム利尿ペプチドデータあり:1,159例、なし:2,024例)であった。
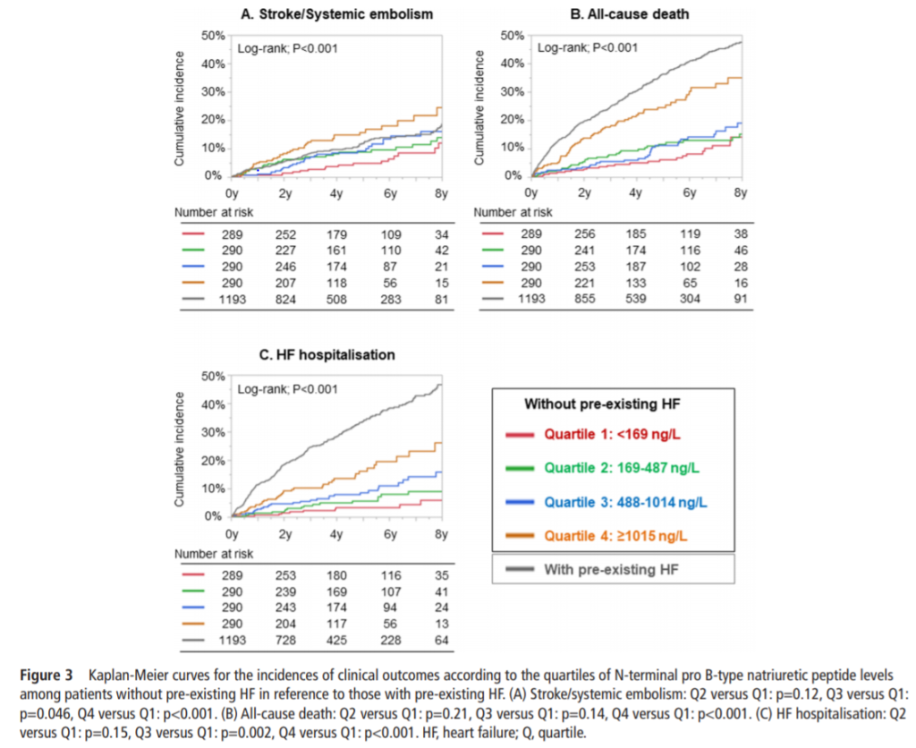
ナトリウム利尿ペプチドデータがあるHFのない心房細動患者1,159例のB型ナトリウム利尿ペプチド(BNP、n=388)のデータ、N末端プロB型ナトリウム利尿ペプチド(NT-proBNP、n=771)を使用して、HF(定義:HF入院の既往、NYHA≧2、LVEF<40%)のないAFの患者を調査した。
BNPは、変換式[‘log10(NT-proBNP) is equal to 1.1×log10(BNP)+0.570’]を使用してNT-proBNP(ng/L)に変換し、四分位[Q1(n=289):<169、Q2(n=290):169-487、Q3(n=290):488-1014、Q4(n=290):≧1,015]に層別化した。
結果:
主要評価項目は、追跡期間中(中央値5年)の「脳卒中/全身性塞栓症、全ての原因による死亡(全死亡)、心不全による入院」の累積発症率とした。
BNP(ng/L)の中央値は82(IQR 37-176)、NT-proBNP(ng/L)の中央値は492(IQR 155-969)、BNPをNT-proBNPに変換して組み合わせたNT-proBNPの中央値は488(IQR 169-1015)であった。

Heart. 2020 Nov20; heartjnl-2020-317735.
心不全のない心房細動患者のイベント[脳卒中/全身性塞栓症(p=0.66)、全死亡(p=0.32)、心不全入院(p=0.091)]発症(100人/年)は、経口抗凝固薬(OAC)の服用有無で交互作用は示されなかった。
心不全のない心房細動患者のイベント(脳卒中/全身性塞栓症、全死亡、心不全入院)発症は、NT-proBNPレベルの上昇に伴い、コホート全体およびOACの有無に関わらず一貫して増加することが示された。

Heart. 2020 Nov20; heartjnl-2020-317735.
「脳卒中/全身性塞栓症」の(累積)発症率は、心不全のある心房細動患者(2.6%)よりも、NT-proBNPレベルQ4(≧1,015ng/L)の心不全のない心房細動患者(3.7%)の方が高かった。
NT-proBNPレベルQ4(≧1,015ng/L)の心不全のない心房細動患者の「全死亡(5.9% vs 9.0%)と心不全入院(3.8% vs 8.5%)」の(累積)発症率は、心不全のある心房細動患者に近かった。

Heart. 2020 Nov20; heartjnl-2020-317735.
交絡因子を調整した多変量Cox回帰分析による、心不全のない心房細動患者のNT-proBNPレベルQ1に対するQ4の各臨床転帰(脳卒中/全身性塞栓症、全死亡、心不全入院)のハザード比は、それぞれ、HR 2.69(95%CI 1.45-5.00)、HR 3.12(95%CI 1.86-5.23)、HR 3.59(95%CI 1.70-7.56)であった。

Heart. 2020 Nov20; heartjnl-2020-317735.
また、NT-proBNPにCHA2DS2-VAScスコアを組み込むことで、予後予測能がさらに向上することが示された。
結論:
NT-proBNPレベルは、心不全を伴わない心房患者の重要な予後(脳卒中/全身性塞栓症、全死亡、心不全による入院)マーカーであり、心房細動患者のNT-proBNPを計測することの臨床的価値が示唆された。
※心不全患者のNT-proBNPの測定は、月一回しか保険で認められておらず、「心不全疑い」で連月採血しても査定されるので注意が必要。
【参考情報】
ナトリウム利尿ペプチドファミリーの発見
https://www.jhf.or.jp/shinzo/mth/images/History-42-1.pdf