PubMed URL:https://pubmed.ncbi.nlm.nih.gov/35261203/
タイトル:Heart failure with mildly reduced ejection fraction: retrospective study of ejection fraction trajectory risk
<概要(意訳)>
背景:
HFmrEF患者の予後は、HFrEF患者と比較して、良好であることが知られている。
本研究では、大規模な後ろ向き研究で異なる臨床転帰を示したHFmrEF患者をLVEF(左室駆出率)の軌跡により3グループに分類し、予後の違いを評価した。
方法:
心不全のサブタイプは、下記の定義により、「HFrEF:LVEF<40%(n=3,167)、HFmrEF:LVEF=40–49%(n=1,351)、HFpEF:LVEF≧50%(n=5,134)」の3つに分類した。
HFmrEFは、LVEFの軌跡により、下記3グループに分類した。
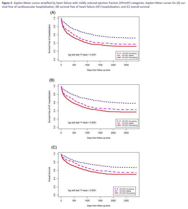
1回目から6ヶ月以上の間隔で実施した2回目の心エコー検査で、LVEFの10%以上の絶対増加を示したグループをHFmrEF-増加群(n=450)、LVEFの10%以上の絶対減少を示したグループをHFmrEF-減少群(n=512)、その他のグループをHFmrEF-安定群(n=389)とした。
主要評価項目は、「2回目の心エコー検査後の全死亡または心血管系による入院」の複合転帰とした。
初発のイベントまでの時間との関連は、年齢、併存疾患、投薬で調整した多変量Cox回帰分析で評価した。

ESC Heart Fail. 2022 Jun;9(3):1564-1573.
結果:
1,351例のHFmrEF患者(年齢の中央値74歳、男性64.2%)が対象となり、28.8%がHFmrEF-安定群であった。
2回目の心エコー検査後の追跡期間15.3ヶ月(中央値)の間に、811例イベント(心不全による入院302例、心血管系による入院185例、全死亡324例)が発生した。
HFmrEF-増加群は、HFmrEF-安定群またはHFmrEF-減少群と比較して、「複合転帰イベント発生率」が低かった(log rank P<0.001)。
さらに、HFmrEF-安定群は、HFmrEF-減少群と比較して、「複合転帰イベント発生率」が低かった(log rank P<0.001)。
同様の結果が、心不全による入院、全死亡のイベント発生率で示された。

ESC Heart Fail. 2022 Jun;9(3):1564-1573.
HFmrEF-増加群は、HFmrEF-安定群と比較して、複合転帰との関連が有意に低いことが示された[調整HR 0.72(95%CI 0.60–0.88)、p<0.001]。
HFmrEF-減少群は、HFmrEF-安定群と比較して、複合転帰との関連に有意な差がないことが示された[調整HR 1.16(95%CI 0.98–1.37)、p=0.092]。
年齢(10歳毎)[調整HR 1.30(95%CI 1.22–1.38)]およびβ遮断薬の使用[調整HR 0.82(95%CI 0.69–0.99)]も、複合転帰と独立した関連があることが示された。

ESC Heart Fail. 2022 Jun;9(3):1564-1573.
結論:
左室駆出率(LVEF)が10%以上の絶対増加を示したHFmrEF患者は、医学的治療を含む重要な交絡因子を調整した有害臨床転帰リスクが低かった。
心エコー検査によるLVEFの軌跡でHFmrEF患者を分類することは、臨床医が意味のある情報を得て、心不全患者の管理に役立つことが示唆された。