PubMed URL:https://pubmed.ncbi.nlm.nih.gov/32515888/
タイトル:Effects of obesity, metabolic syndrome, and non-alcoholic or alcoholic elevated liver enzymes on incidence of diabetes following lifestyle intervention: A subanalysis of the J-DOIT1
<概要(意訳)>
背景:
本研究(J-DOIT1サブ解析)は、ライフスタイルの介入が糖尿病の発症を効果的に予防できる集団を健診データから特定することを目的とした。
方法:
健康診断で空腹時血糖値(100mg/dl以上かつ126mg/dl未満)の異常(正常高値~境界型)を示した20~65歳の2,607例の被験者(男性83.4%、BMI中央値24.3kg/m2)をライフスタイル介入群(n=1240)と対照群(n=1367)に無作為に割り付けた。
ライフスタイル介入群は、4つの目標[1)運動習慣(歩数≧10000/日)、2)適切な体重(肥満の場合は体重の5%減少)、3)食物繊維摂取量、4)適度なアルコール摂取]を設定された後、歩数計と体重計を受け取った。
その結果に基づいて予防支援センターから年間5~6回の電話で糖尿病予防支援(食事や運動に関する健康習慣支援)を受けた。
このライフスタイル介入が、「肥満(BMI≧25)」、「メタボリックシンドローム[MetS:①高トリグリセリド血症≧150mg/dL、②低HDLコレステロール血症<40mg/dL(男性)、< 50mg/dL(女性)、③空腹時高血糖≧110mg/dL、④血圧≧130/85 mmHg又は降圧薬の服用、⑤BMI≧25kg/m2の内、3つ以上に該当])、ベースラインで「非アルコール性(1日エタノール摂取量:男性≧20g、女性≧10g)の肝酵素上昇」、または「アルコール性(1日エタノール摂取量:男性<20g、女性<10g)の肝酵素上昇」の所見がある被験者における2型糖尿病の発症率に与える影響をCox回帰分析により、ハザード比(HR)を計算した。
肝酵素上昇の定義は、AST(アスパラギン酸アミノトランスフェラーゼ)の場合、男性≧33U/L、女性≧29 U/Lとした。
ALT(アラニンアミノトランスフェラーゼ)の場合、男性≧43U/L、女性≧30 U/Lとした。
2型糖尿病発症の定義は、「(a)空腹時血糖≧126mg/dLおよび(b)2型糖尿病の診断または糖尿病治療薬の使用」とした。
主要評価項目は、「フォローアップ期間中(中央値4.9年)における糖尿病の累積発症率」とした。
結果:
肥満とMetSの有病率は、それぞれ、37.5%と38.1%であった。
非アルコール性とアルコール性の肝酵素上昇の有病率は、それぞれ、7.1%と13.8%であった。
全ての被験者は、肥満(BMI≧25)の有無、MetSの有無、肝酵素上昇(非アルコール性/アルコール性/正常)の有無によって分類された。
ベースラインの年齢、性別比、BMI、臨床パラメーターは、ライフスタイル介入群と対照群の間に差はなかった。
肥満又はMetSの有る被験者の累積糖尿病発症率は、肥満又はMetSの無い被験者と比較して、約2倍高かった。
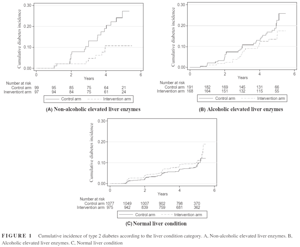
同様に、非アルコール性又はアルコール性の肝酵素が上昇した被験者の累積糖尿病発症率は、正常な肝機能の被験者と比較して、約2~3倍高かった。
ゆえに、健康診断で空腹時血糖が異常(100mg/dl以上かつ126mg/dl未満)を示した被験者が、「肥満またはMetS」、および「非アルコール性またはアルコール性の肝酵素上昇」が有る場合は、2型糖尿病の発症リスクがより上昇することが示された。
ライフスタイル介入による2型糖尿病の発症抑制効果は、4.9年(中央値)のフォローアップ期間中に認められなかったが、「非アルコール性の肝酵素上昇」がある被験者の2型糖尿病の発症リスクは有意な低下が認められた[HR 0.42(95%CI 0.18〜0.98)、p=0.045]。
本研究中に、ライフスタイル介入による重篤な有害事象は観察されなかった。


J Occup Heaith. 2020 Jan; 62(1): e12109.
結論:
健康診断で空腹時血糖値が異常(100mg/dl以上かつ126mg/dl未満)を示し、非アルコール性(1日エタノール摂取量:男性≧20g、女性≧10g)の肝酵素異常[ASTの場合、男性≧33U/L、女性≧29 U/L。ALTの場合、男性≧43U/L、女性≧30 U/L]を有する患者に対するライフスタイル介入は2型糖尿病の発症抑制に効果的である事が示された。
【参考情報】
「糖尿病予防のための戦略研究」全体像
糖尿病予防のための戦略研究課題1(J-DOIT1): 2型糖尿病発症予防のための介入試験
https://rctportal.niph.go.jp/s/detail/um?trial_id=UMIN000000662