PubMed URL:https://pubmed.ncbi.nlm.nih.gov/41387982/
タイトル:Risk factors for persistent decline in eGFR of Japanese patients with diabetes: Analysis using a large-scale diabetes registry J-DREAMS
<概要(意訳)>
序論
糖尿病(DM)の世界的有病率は増加の一途をたどっており、2030年までに6億4,300万人、2045年までに7億8,300万人に達すると予測されている。DM患者は、しばしば併存疾患や合併症を伴う。
糖尿病性腎臓病(DKD)はDMの最も一般的かつ重篤な合併症の一つであり、世界的に末期腎不全(ESKD)の主要原因となっている。推算糸球体濾過量(eGFR)の低下は、2型糖尿病患者における心血管イベントおよび腎アウトカムの独立した予測因子として認識されている。複数の研究により、貧血およびアルブミン低下がDKD進行の重要な寄与因子として同定されている。Jiang et al.による20の国際コホートのメタ解析では、早期DKDのリスク予測モデルが構築され、アルブミン尿、HbA1c、およびトリグリセリドが主要な予測因子として強調された。Krolewski et al.は糖尿病性腎症における急速な腎機能低下の現象を強調し、Vistisen et al.はアルブミン尿のない患者においてもeGFRの進行性低下を報告した。
日本においても同様の知見が報告されている。Hirano et al.は、腎機能が保たれ正常アルブミン尿の患者において、低ヘモグロビン値がeGFRの急速な低下の独立したリスク因子であることを同定した。Yoshida et al.は、高齢、高いベースラインeGFR、高いアルブミン/クレアチニン比(ACR)、および高い収縮期血圧が早期低下者と有意に関連することを見出した。Ueda et al.もまた、日本人糖尿病集団において貧血、低アルブミン血症、および血圧上昇が腎機能悪化に寄与することを示した。しかし、日本人糖尿病患者における進行性腎機能低下の包括的リスク因子を報告した大規模研究は実施されていなかった。
近年、eGFR slopeが腎予後のサロゲートマーカーとして研究および臨床の場で注目を集めている。しかし、実臨床においてはeGFR slopeの算出方法、特にeGFR測定の最適な期間と頻度に関するコンセンサスが得られておらず、日常診療での実用性を制限する可能性がある。そこで本研究では、より直感的で臨床的に解釈しやすいアウトカムとして、1年および2年時点でのeGFR≧30%低下を用いて腎機能低下のリスク因子を同定することを目的とした。このアプローチは、臨床医がハイリスク患者を同定し、適時の介入を実施するためのより明確な指針を提供し得ると考えられる。
これらの疑問に対処するため、我々はJ-DREAMSデータベースを用いて後ろ向き解析を実施した。J-DREAMSは日本全国の糖尿病専門医からの標準化された臨床情報を統合するシステムである。本研究は、日本人糖尿病の大規模コホートにおけるeGFRの持続的低下に関連する臨床的予測因子の同定を目的としており、「J-DREAMSを用いた日本人糖尿病患者における貧血の有病率とリスク因子:レジストリ研究」の一環として実施された。
研究方法
研究の設定
糖尿病患者を対象に特化して開発された大規模レジストリであるJ-DREAMSは、国立国際医療研究センター(NCGM)が日本糖尿病学会(JDS)と連携して開始した。電子カルテ(EMR)基盤に組み込まれた標準化糖尿病管理テンプレート(SDMT)の実装により、すべての参加施設においてデータ取得が統一的に実施される。SDMTは、厳密に検証された基準に準拠して、糖尿病の状態および関連する併存疾患・合併症に関する情報を取得する。SDMTにデータが入力されると、自動化プロセスにより必須の人口統計学的特性、処方治療、および検査結果がデータベースに集約される。DMの診断はJDSが提供するガイドラインに基づく。すべての医学的状態は、国際疾病分類(ICD)コーディングシステムに依存するのではなく、1型、2型、および二次性糖尿病の専用識別子を含む疾患名に直接リンクされた固有のコードを用いて記録される。
対象患者
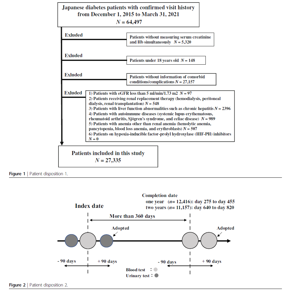
J-DREAMSシステムに登録された糖尿病と診断された患者は、以下の条件を満たす場合に組み入れ適格とした(図1):(1) 18歳以上、(2) 糖尿病の確定診断、(3) 外来通院中、(4) 2015年12月1日から2021年3月31日の間にJ-DREAMSに記録されたデータがあり、3ヶ月以内に血清クレアチニンとヘモグロビンが同時に測定された記録が少なくとも1回あること。
除外基準は以下の通りとした:(1) 入院患者、(2) eGFR 5 mL/min/1.73 m²未満の患者、(3) 血液透析、腹膜透析、または腎移植を受けている患者、(4) 慢性肝炎を含む肝機能障害を有する患者、(5) 全身性エリテマトーデス、関節リウマチ、シェーグレン症候群、またはセリアック病などの自己免疫疾患と診断された患者、(6) 溶血性貧血、汎血球減少症、出血性貧血、または赤芽球の存在など腎性以外の原因による貧血症例、(7) 低酸素誘導因子プロリル水酸化酵素(HIF-PH)阻害薬の使用者。
これらの基準を満たすコホートから、年齢、性別、HbA1c、eGFR、BMI、血清アルブミン、LDL-C、HDL-C、およびトリグリセリドなどの中核的な人口統計学的および生化学的変数を抽出した。慢性腎臓病(CKD)ステージG1〜G2かつアルブミン尿カテゴリーA1はDKDなしと定義し、その他のすべての組み合わせをDKDと分類した。さらに、臨床ガイドラインまたは医師の評価に基づき、神経障害、網膜症、冠動脈疾患(CAD)、脳血管疾患、末梢動脈疾患(PAD)、および慢性心不全(CHF)の臨床歴について「あり」「なし」「不明」の記録を必要とした。糖尿病網膜症については、眼科医が診断を行い、共有情報を用いて主治医が最終判定を行った。高血圧は収縮期血圧≧140 mmHgかつ/または拡張期血圧≧90 mmHg、または降圧薬の使用と定義した。脂質異常症はLDL-C≧120 mg/dLかつ/または脂質低下療法の実施と定義した。貧血は日本透析医学会(JSDT)基準に従い判定した:19〜59歳男性はヘモグロビン<13.5 g/dL、60〜69歳男性は<12.0 g/dL、70歳以上男性は<11.0 g/dL、19〜59歳女性は<11.5 g/dL、60歳以上女性は<10.5 g/dL。
研究アウトカム
ESKDへの進行をモニタリングすることが理想的であるが、年間発生率は低く、十分なイベント数を蓄積するために必要な期間が研究期間を超える可能性があった。DKDの初期段階における微量アルブミン尿は一貫した直線的な軌跡をたどらないことから、代替のアウトカム指標として1年または2年以内のeGFR≧30%低下を選択した。J-DREAMSデータセットから、360日を超える間隔で2つのeGFR値が記録され、かつベースライン血液検査の前後90日以内に尿中アルブミン/クレアチニン比が測定されている個人を同定した。その期間内に複数の尿検査が利用可能な場合は、最も早い結果を使用した。次に、1年または2年の時点でeGFR≧30%の低下が発生したかを評価した。1年時エンドポイントでは、ベースラインから275日(365−90)〜455日(365+90)の間に少なくとも2つのeGFR値があり、すべてが≧30%低下を示す患者を組み入れた。同様に、2年時エンドポイントでは、基準日から640日(730−90)〜820日(730+90)の間にeGFR値を有する患者を対象とした。
統計解析
J-DREAMSシステムから得られた患者プロファイル、併存疾患、および検査所見の差異を評価するため、連続変数にはWelchのt検定を適用し、カテゴリー変数にはカイ二乗検定またはFisherの正確確率検定を適宜使用した。P値<0.05を統計学的に有意とした。1年または2年にわたるeGFR≧30%低下の予測因子を同定するため、ロジスティック回帰モデルを用いて調整オッズ比および対応する95%信頼区間(CI)を算出した。モデルに含めた変数は、J-DREAMSデータセットから得られた患者の人口統計学的特性、臨床状態、および検査パラメータで構成された。まず、単変量解析でP値≦0.10を示した変数を用いて多変量ロジスティック回帰モデルを構築した。その後、初回の多変量解析でP値≦0.10を維持した変数を選択して最終モデルを構築した。すべての統計計算はSTATA/MP version 17.0(Stata Corp., College Station, TX, USA)を用いて実施した。
倫理
本研究プロトコルは、国立国際医療研究センター(NCGM)の施設内倫理審査委員会(承認番号:NCGM-S-004378-00)およびアステラス製薬メディカルアフェアーズジャパンプロトコール審査委員会の両方による評価と承認を受けた。これは患者の直接関与を伴わない後ろ向き非介入データベース研究であった。機密保持はNCGMにより保護された。厚生労働省の疫学研究に関するガイドラインに従い、書面による同意取得は義務ではなかった。患者はウェブサイト上でJ-DREAMSに関する情報にアクセスでき、データ登録の同意をいつでも撤回する権利を有していた。

J Diabetes Investig. 2026 Feb;17(2):242-255.
結果
対象患者
2015年12月1日から2021年3月31日の間に、合計64,497人の糖尿病患者がJ-DREAMSシステムに受診記録を有していた。このうち27,335人が最終研究集団に組み入れられた(図1)。これらのうち、1年および2年時点のeGFR変化の評価基準を満たした個人は、それぞれ12,416人および11,157人であった(図2)。1年時点でeGFR≧30%低下を経験した患者数は353人であり、2年時点では547人がこの閾値を満たした。
患者の臨床的・検査的特徴、併存疾患・合併症
研究集団の臨床プロファイル、検査指標、および関連する健康状態の記述統計を表1および表2に示す。1年および2年の追跡時点において、糖尿病神経障害を有する患者の割合はそれぞれ16.1%および16.7%であった。糖尿病網膜症は18.7%および19.8%に認められ、JDS定義によるステージ2〜4の腎症は40.0%および40.6%に存在し、CHFは4.0%および4.1%に認められ、貧血は9.0%および8.7%であった。
1年時点でeGFR≧30%低下を経験した群とそうでない群を比較すると(表1)、前者では高血圧がより高頻度に認められた一方、脂質異常症の有病率に有意差は認められなかった。糖尿病神経障害、網膜症、およびステージ3以上の腎症は、顕著なeGFR低下を示した群でより多く認められた。冠動脈疾患、脳血管疾患、またはPADなどの大血管合併症の割合に有意差は認められなかったが、CHFはeGFR低下がより大きい群で有意に多く認められた。
2年時点では(表2)、eGFR≧30%低下の有無により、性別や平均年齢に顕著な差は認められなかった。しかし、低下がより大きい群では収縮期血圧が高く、糖尿病罹病期間が長く、高血圧の頻度が高かった。脂質異常症の割合は両群で同様であった。糖尿病神経障害、網膜症、および進行した腎症は、eGFR低下が顕著な群で再びより多く認められた。さらに、冠動脈疾患、脳血管疾患、PAD、およびCHFを含むすべての大血管合併症が、2年時点でeGFR≧30%低下を示した患者でより多く認められた。
表1:1年時eGFR≧30%低下の有無別の臨床的・検査的特徴、併存疾患・合併症
全適格患者 (N=12,416) / eGFR≧30%低下群 (N=353) / 非低下群 (N=12,063)
|
項目 |
n† |
値 |
n† |
値 |
n† |
値 |
P値 |
|
年齢(歳) |
12,416 |
64.5 ± 13.8 |
353 |
62.2 ± 14.3 |
12,063 |
64.5 ± 13.7 |
0.002 |
|
女性 |
12,416 |
4,882 (38.7) |
353 |
112 (31.7) |
12,063 |
4,690 (38.9) |
0.007 |
|
日本人 |
12,416 |
12,416 (100) |
353 |
353 (100) |
12,063 |
12,063 (100) |
|
|
糖尿病罹病期間(年) |
8,972 |
12.7 ± 10.66 |
268 |
11.3 ± 10.7 |
8,704 |
12.8 ± 10.6 |
<0.001 |
|
BMI (kg/m²) |
8,820 |
25.2 ± 4.9 |
236 |
24.8 ± 5.6 |
8,584 |
25.2 ± 4.9 |
0.2334 |
|
喫煙状況 |
|||||||
|
喫煙歴なし |
8,097 |
3,733 (46.1) |
227 |
97 (42.7) |
7,870 |
3,636 (46.2) |
0.178 |
|
現在喫煙 |
1,700 (21.0) |
59 (26.0) |
1,641 (20.9) |
||||
|
過去喫煙 |
2,664 (32.9) |
71 (31.3) |
2,593 (33.0) |
||||
|
飲酒なし |
7,848 |
4,645 (59.2) |
226 |
139 (61.5) |
7,622 |
4,506 (59.1) |
0.906 |
|
糖尿病の型 |
|||||||
|
1型 |
12,416 |
964 (7.8) |
353 |
22 (6.2) |
12,063 |
942 (7.8) |
<0.001 |
|
2型 |
9,913 (74.0) |
271 (76.8) |
8,922 (74.0) |
||||
|
薬剤性/その他 |
771 (6.2) |
30 (8.5) |
741 (6.1) |
||||
|
不明 |
1,488 (12.0) |
30 (8.5) |
1,458 (12.1) |
||||
|
収縮期血圧 (mmHg) |
6,366 |
129.4 ± 16.2 |
195 |
132.1 ± 21.3 |
6,171 |
129.3 ± 16.0 |
0.0163 |
|
拡張期血圧 (mmHg) |
6,346 |
74.0 ± 11.7 |
195 |
74.4 ± 12.8 |
6,151 |
74.0 ± 11.7 |
0.63 |
|
空腹時血糖 (mg/dL) |
12,296 |
155.1 ± 66.0 |
349 |
189.8 ± 98.2 |
11,947 |
154.2 ± 64.5 |
<0.0001 |
|
HbA1c (%) |
12,150 |
7.45 ± 1.5 |
346 |
8.28 ± 2.5 |
11,804 |
7.43 ± 1.4 |
<0.0001 |
|
アルブミン (mg/dL) |
9,090 |
4.1 ± 0.5 |
331 |
3.7 ± 0.6 |
8,759 |
4.1 ± 0.4 |
<0.0001 |
|
総コレステロール (mg/dL) |
10,594 |
188.5 ± 39.3 |
313 |
198.4 ± 55.6 |
10,281 |
188.2 ± 38.6 |
<0.0001 |
|
LDL-C (mg/dL) |
9,187 |
104.3 ± 31.7 |
259 |
109.8 ± 43.5 |
8,928 |
104.1 ± 31.3 |
0.0043 |
|
計算LDL-C (mg/dL) |
11,866 |
104.2 ± 31.6 |
324 |
111.0 ± 44.7 |
11,542 |
104.0 ± 31.1 |
0.0001 |
|
HDL-C (mg/dL) |
11,736 |
56.8 ± 17.5 |
327 |
53.1 ± 17.3 |
11,409 |
56.9 ± 17.5 |
0.0001 |
|
TG (mg/dL) |
11,963 |
144.5 ± 97.0 |
331 |
171.4 ± 123.4 |
11,632 |
143.8 ± 96.0 |
<0.0001 |
|
CPK (U/L) |
20,016 |
112.3 ± 87.0 |
302 |
113.9 ± 104.1 |
8,771 |
115.6 ± 86.8 |
0.7419 |
|
AST (U/L) |
12,065 |
25.9 ± 18.8 |
345 |
26.8 ± 33.2 |
11,720 |
25.9 ± 18.3 |
0.3853 |
|
ALT (U/L) |
12,272 |
27.0 ± 24.7 |
346 |
27.4 ± 37.2 |
11,926 |
27.0 ± 24.3 |
0.7376 |
|
γGTP (U/L) |
11,619 |
44.7 ± 62.7 |
335 |
51.0 ± 73.0 |
11,284 |
44.5 ± 62.4 |
0.0608 |
|
尿酸 (mg/dL) |
9,842 |
5.4 ± 1.4 |
281 |
5.6 ± 1.7 |
9,561 |
5.4 ± 1.4 |
0.0021 |
|
BUN (mg/dL) |
11,125 |
17.0 ± 7.4 |
345 |
21.0 ± 12.9 |
10,780 |
16.9 ± 7.2 |
<0.0001 |
|
クレアチニン (mg/dL) |
12,416 |
0.88 ± 0.49 |
353 |
1.20 ± 0.93 |
12,063 |
0.87 ± 0.47 |
<0.0001 |
|
eGFR (mL/min/1.73 m²) |
12,401 |
70.5 ± 22.9 |
353 |
67.4 ± 34.9 |
12,048 |
70.5 ± 22.5 |
0.0118 |
|
K (mmol/L) |
10,840 |
4.3 ± 0.4 |
342 |
4.3 ± 0.5 |
10,498 |
4.3 ± 0.4 |
0.0965 |
|
白血球 (10³/μL) |
12,416 |
6.8 ± 2.2 |
353 |
7.1 ± 2.5 |
12,063 |
6.8 ± 2.2 |
<0.0001 |
|
ヘモグロビン (g/dL) |
12,416 |
13.8 ± 1.8 |
353 |
12.8 ± 2.1 |
12,063 |
13.8 ± 1.8 |
<0.0001 |
|
血小板 (10³/μL) |
12,287 |
230.0 ± 64.5 |
348 |
230.4 ± 75.0 |
11,939 |
230.0 ± 64.1 |
0.9152 |
|
高血圧 |
12,416 |
6,019 (48.5) |
353 |
187 (53.0) |
12,063 |
5,832 (48.3) |
0.013 |
|
脂質異常症 |
12,416 |
6,045 (48.7) |
353 |
165 (46.7) |
12,063 |
5,880 (48.7) |
0.106 |
|
JSDT基準貧血 |
12,416 |
1,122 (9.0) |
353 |
109 (30.9) |
12,063 |
1,013 (8.4) |
<0.001 |
|
糖尿病神経障害 |
12,416 |
1,995 (16.1) |
353 |
91 (25.8) |
12,063 |
1,904 (15.8) |
<0.0001 |
|
糖尿病網膜症 |
12,416 |
2,326 (18.7) |
353 |
125 (35.4) |
12,063 |
2,201 (18.2) |
<0.0001 |
|
CKD Gカテゴリー |
|||||||
|
G1 (≧90) |
12,416 |
2,209 (17.8) |
353 |
95 (26.9) |
12,063 |
2,114 (17.5) |
<0.001 |
|
G2 (60-89) |
6,310 (50.8) |
103 (29.2) |
6,207 (51.5) |
||||
|
G3a (45-59) |
2,356 (19.0) |
49 (13.9) |
2,307 (19.1) |
||||
|
G3b (30-44) |
1,064 (8.6) |
40 (11.3) |
1,024 (8.5) |
||||
|
G4 (15-30) |
396 (3.2) |
49 (13.9) |
347 (2.9) |
||||
|
G5 (<15) |
81 (0.7) |
17 (4.8) |
64 (0.5) |
||||
|
CKD Aカテゴリー |
|||||||
|
A1 |
10,203 |
7,067 (69.3) |
329 |
100 (30.4) |
9,924 |
6,967 (70.2) |
<0.001 |
|
A2 |
1,085 (10.6) |
77 (23.4) |
1,058 (10.7) |
||||
|
A3 |
2,051 (20.1) |
152 (46.2) |
1,899 (19.1) |
||||
|
冠動脈疾患 |
12,416 |
1,460 (11.8) |
353 |
44 (12.5) |
12,063 |
1,416 (11.7) |
0.634 |
|
脳血管疾患 |
12,416 |
869 (7.0) |
353 |
30 (8.5) |
12,063 |
839 (7.0) |
0.573 |
|
末梢動脈疾患 |
12,416 |
377 (3.0) |
353 |
14 (4.0) |
12,063 |
363 (3.0) |
0.437 |
|
慢性心不全 |
12,416 |
493 (4.0) |
353 |
37 (10.5) |
12,063 |
456 (3.8) |
<0.001 |
値は平均±標準偏差または人数(%)で表示。†データ利用可能な患者数。略語:A=アルブミン/クレアチニン比、ALT=アラニンアミノトランスフェラーゼ、AST=アスパラギン酸アミノトランスフェラーゼ、BMI=体格指数、BUN=血中尿素窒素、CKD=慢性腎臓病、CPK=クレアチンホスホキナーゼ、eGFR=推算糸球体濾過量、G=グレード、HbA1c=ヘモグロビンA1c、HDL-C=高密度リポ蛋白コレステロール、JSDT=日本透析医学会、LDL-C=低密度リポ蛋白コレステロール、TG=トリグリセリド、γGTP=γ-グルタミルトランスペプチダーゼ。
表2:2年時eGFR≧30%低下の有無別の臨床的・検査的特徴、併存疾患・合併症
全適格患者 (N=11,157) / eGFR≧30%低下群 (N=547) / 非低下群 (N=10,610)
|
項目 |
n† |
値 |
n† |
値 |
n† |
値 |
P値 |
|
年齢(歳) |
11,157 |
64.4 ± 13.5 |
547 |
64.0 ± 13.5 |
10,610 |
64.4 ± 13.5 |
0.4357 |
|
女性 |
11,157 |
4,439 (39.8) |
547 |
196 (35.8) |
10,610 |
4,243 (40.0) |
0.054 |
|
日本人 |
11,157 |
11,157 (100) |
547 |
547 (100) |
10,610 |
10,610 (100) |
|
|
糖尿病罹病期間(年) |
8,485 |
13.4 ± 10.7 |
423 |
14.6 ± 11.9 |
8,062 |
13.3 ± 10.6 |
0.015 |
|
BMI (kg/m²) |
7,683 |
25.2 ± 4.9 |
382 |
24.9 ± 4.9 |
7,301 |
25.2 ± 4.9 |
0.3357 |
|
喫煙状況 |
|||||||
|
喫煙歴なし |
7,453 |
3,412 (45.8) |
369 |
155 (42.0) |
7,084 |
3,257 (46.0) |
0.011 |
|
現在喫煙 |
1,531 (20.5) |
99 (26.8) |
1,432 (20.2) |
||||
|
過去喫煙 |
2,510 (33.7) |
115 (31.2) |
2,395 (33.8) |
||||
|
飲酒なし |
7,251 |
4,286 (59.1) |
354 |
217 (61.3) |
6,897 |
4,069 (59.0) |
0.726 |
|
糖尿病の型 |
|||||||
|
1型 |
11,157 |
973 (8.7) |
547 |
23 (4.2) |
10,610 |
950 (9.0) |
<0.001 |
|
2型 |
8,590 (77.0) |
456 (83.4) |
8,134 (76.7) |
||||
|
薬剤性/その他 |
619 (5.5) |
31 (5.7) |
588 (5.5) |
||||
|
不明 |
975 (8.7) |
37 (6.8) |
938 (8.8) |
||||
|
収縮期血圧 (mmHg) |
5,661 |
128.9 ± 16.0 |
295 |
133.9 ± 19.4 |
5,366 |
128.7 ± 15.8 |
<0.0001 |
|
拡張期血圧 (mmHg) |
5,647 |
73.6 ± 11.6 |
295 |
73.2 ± 12.6 |
5,352 |
73.6 ± 11.6 |
0.5586 |
|
空腹時血糖 (mg/dL) |
11,053 |
152.8 ± 61.8 |
543 |
177.2 ± 86.7 |
10,510 |
151.5 ± 60.0 |
<0.0001 |
|
HbA1c (%) |
10,953 |
7.39 ± 1.4 |
535 |
7.78 ± 2.0 |
10,418 |
7.36 ± 1.3 |
<0.0001 |
|
アルブミン (mg/dL) |
8,117 |
4.1 ± 0.5 |
481 |
3.7 ± 0.6 |
7,636 |
4.2 ± 0.4 |
<0.0001 |
|
総コレステロール (mg/dL) |
9,650 |
186.9 ± 37.7 |
482 |
188.4 ± 49.5 |
9,168 |
186.8 ± 36.9 |
0.3504 |
|
LDL-C (mg/dL) |
8,155 |
103.0 ± 30.4 |
421 |
102.1 ± 38.6 |
7,734 |
103.0 ± 29.9 |
0.5602 |
|
計算LDL-C (mg/dL) |
10,792 |
103.3 ± 30.6 |
517 |
102.3 ± 38.9 |
10,275 |
103.4 ± 30.1 |
0.4338 |
|
HDL-C (mg/dL) |
10,693 |
57.0 ± 17.6 |
515 |
54.3 ± 19.3 |
10,178 |
57.2 ± 17.5 |
0.0003 |
|
TG (mg/dL) |
10,857 |
142.8 ± 95.5 |
525 |
173.2 ± 125.3 |
10,332 |
141.3 ± 93.5 |
<0.0001 |
|
CPK (U/L) |
8,111 |
116.7 ± 85.6 |
420 |
119.8 ± 106.1 |
7,691 |
116.6 ± 84.3 |
0.4595 |
|
AST (U/L) |
10,761 |
25.4 ± 17.0 |
539 |
24.5 ± 19.4 |
10,222 |
25.4 ± 16.9 |
0.234 |
|
ALT (U/L) |
11,033 |
26.2 ± 22.6 |
542 |
24.6 ± 28.7 |
10,491 |
26.3 ± 22.2 |
0.0959 |
|
γGTP (U/L) |
10,397 |
42.3 ± 59.7 |
519 |
47.7 ± 71.7 |
9,878 |
42.0 ± 59.0 |
0.0331 |
|
尿酸 (mg/dL) |
8,515 |
5.4 ± 1.4 |
435 |
5.7 ± 1.7 |
8,080 |
5.4 ± 1.4 |
<0.0001 |
|
BUN (mg/dL) |
9,901 |
16.9 ± 7.1 |
525 |
22.1 ± 12.1 |
9,376 |
16.6 ± 6.6 |
<0.0001 |
|
クレアチニン (mg/dL) |
11,157 |
0.87 ± 0.45 |
547 |
1.23 ± 0.86 |
10,610 |
0.85 ± 0.41 |
<0.0001 |
|
eGFR (mL/min/1.73 m²) |
11,157 |
70.3 ± 22.4 |
547 |
61.8 ± 33.1 |
10,610 |
70.7 ± 21.6 |
<0.0001 |
|
K (mmol/L) |
9,754 |
4.35 ± 0.4 |
526 |
4.4 ± 0.5 |
9,228 |
4.35 ± 0.4 |
0.0125 |
|
白血球 (10³/μL) |
11,143 |
6.7 ± 2.1 |
547 |
7.2 ± 2.5 |
10,596 |
6.7 ± 2.1 |
0.0001 |
|
ヘモグロビン (g/dL) |
11,157 |
13.8 ± 1.7 |
547 |
12.6 ± 2.0 |
10,610 |
13.8 ± 1.7 |
<0.0001 |
|
血小板 (10³/μL) |
11,052 |
229.6 ± 63.4 |
536 |
228.0 ± 67.5 |
10,516 |
229.7 ± 63.2 |
0.5536 |
|
高血圧 |
11,157 |
5,777 (51.7) |
547 |
370 (67.6) |
10,610 |
5,407 (51.0) |
<0.001 |
|
脂質異常症 |
11,157 |
5,926 (53.1) |
547 |
306 (55.9) |
10,610 |
5,880 (55.4) |
0.276 |
|
JSDT基準貧血 |
11,157 |
970 (8.7) |
547 |
162 (29.6) |
10,610 |
808 (7.6) |
<0.001 |
|
糖尿病神経障害 |
11,157 |
1,868 (16.7) |
547 |
157 (28.7) |
10,610 |
1,711 (16.1) |
<0.001 |
|
糖尿病網膜症 |
11,157 |
2,210 (19.8) |
547 |
212 (38.8) |
10,610 |
1,998 (18.8) |
<0.001 |
|
CKD Gカテゴリー |
|||||||
|
G1 (≧90) |
11,157 |
1,912 (17.1) |
547 |
118 (21.5) |
10,610 |
1,794 (16.9) |
<0.001 |
|
G2 (60-89) |
5,737 (51.4) |
150 (27.4) |
5,587 (52.7) |
||||
|
G3a (45-59) |
2,153 (19.3) |
77 (14.1) |
2,076 (19.6) |
||||
|
G3b (30-44) |
963 (8.6) |
88 (16.1) |
875 (8.3) |
||||
|
G4 (15-30) |
345 (3.1) |
95 (17.4) |
250 (2.4) |
||||
|
G5 (<15) |
47 (0.4) |
19 (3.5) |
28 (0.3) |
||||
|
CKD Aカテゴリー |
|||||||
|
A1 |
9,356 |
6,451 (69.0) |
439 |
134 (30.5) |
8,917 |
6,317 (70.8) |
<0.001 |
|
A2 |
1,071 (11.5) |
37 (8.4) |
1,034 (11.6) |
||||
|
A3 |
1,834 (19.6) |
268 (61.1) |
1,566 (17.6) |
||||
|
冠動脈疾患 |
11,157 |
1,426 (12.8) |
547 |
109 (19.9) |
10,610 |
1,317 (12.4) |
<0.001 |
|
脳血管疾患 |
11,157 |
821 (7.4) |
547 |
55 (10.1) |
10,610 |
766 (7.2) |
0.043 |
|
末梢動脈疾患 |
11,157 |
364 (3.3) |
547 |
42 (7.7) |
10,610 |
322 (3.0) |
<0.001 |
|
慢性心不全 |
11,157 |
461 (4.1) |
547 |
69 (12.6) |
10,610 |
392 (3.7) |
<0.001 |
値は平均±標準偏差または人数(%)で表示。†データ利用可能な患者数。略語は表1と同一。
J Diabetes Investig. 2026 Feb;17(2):242-255.
1年および2年追跡期間中のeGFR≧30%低下のリスク因子
1年および2年の間隔におけるeGFR≧30%低下の決定因子を同定するため、当該低下の有無を従属変数として単変量ロジスティック回帰分析を実施した。説明変数には、人口統計学的特性(年齢、性別、糖尿病罹病期間、喫煙状況)、検査パラメータ(HbA1c、血清アルブミン、HDL-C、トリグリセリド)、CKDステージ(GおよびAカテゴリー)、および臨床的併存疾患(高血圧、脂質異常症、貧血、細小血管・大血管合併症、CHF)を含めた(表3および表4に詳述)。
単変量解析でP値≦0.10であり臨床的に関連性があると判断された変数を、初回の多変量ロジスティック回帰モデルに投入した。最終モデルは、初回の多変量ステップでP≦0.10で有意を維持した変数のみを保持して精緻化した。
1年コホート(n=5,294)の最終モデルでは、eGFR≧30%低下の有意な予測因子として、65歳未満(AOR 0.53 [95%CI 0.36–0.77]、P=0.001、すなわち65歳以上はリスク低下)、血清アルブミン低下(1.0 mg/dL低下あたりAOR 3.63 [95%CI 2.64–5.00]、P<0.001)、トリグリセリド高値(50 mg/dL増加あたりAOR 1.04 [95%CI 1.01–1.07]、P=0.004)、HbA1c高値(1.0%上昇あたりAOR 1.24 [95%CI 1.15–1.34]、P<0.001)、JSDT基準による貧血(AOR 1.34 [95%CI 1.11–1.62]、P=0.002)、糖尿病網膜症(AOR 1.57 [95%CI 1.10–2.24]、P=0.014)、CKDステージG4(AOR 1.98 [95%CI 1.04–3.47]、P=0.036)、G5(AOR 3.17 [95%CI 1.22–8.25]、P=0.018)、アルブミン尿カテゴリーA3(AOR 2.43 [95%CI 1.61–3.68]、P<0.001)、およびCHF(AOR 2.01 [95%CI 1.15–3.51]、P=0.014)が同定された(表3)。
2年コホート(n=4,355)の最終モデルでは、リスク因子として、現在の喫煙(AOR 1.64 [95%CI 1.10–2.43]、P=0.014)、血清アルブミン低下(AOR 3.56 [95%CI 2.24–4.92]、P<0.001)、トリグリセリド高値(AOR 1.06 [95%CI 1.02–1.11]、P=0.002)、高血圧(AOR 1.72 [95%CI 1.89–2.48]、P=0.004)、JSDT基準による貧血(AOR 1.62 [95%CI 1.10–2.39]、P=0.016)、糖尿病神経障害(AOR 1.49 [95%CI 1.0–2.03]、P=0.011)、糖尿病網膜症(AOR 1.42 [95%CI 1.04–1.93]、P=0.029)、CKDステージG4(AOR 4.12 [95%CI 2.42–7.03]、P<0.001)、アルブミン尿カテゴリーA3(AOR 3.33 [95%CI 2.36–4.70]、P<0.001)、およびCHF(AOR 2.27 [95%CI 1.48–3.50]、P<0.001)が同定された(表4)。
両時間枠に共通する予測因子は、低アルブミン血症、高トリグリセリド血症、貧血、網膜症、進行CKD(G4以上かつ/またはA3)、およびCHFであった。若年および血糖コントロール不良は1年モデルに特異的であり、喫煙、高血圧、および神経障害は2年モデルに固有であった。
表3:1年追跡期間中のeGFR≧30%低下のリスク因子を同定するためのロジスティック回帰分析
左列:各併存疾患/合併症を説明変数とした未調整オッズ比。中央列(n=4,012):P≦0.1の変数を用いた初回多変量解析の調整オッズ比。右列(n=5,294):中央列でP≦0.1の変数を選択した最終多変量解析の調整オッズ比。
|
変数 |
カテゴリー |
総数 |
イベント(%) |
OR [95%CI] |
P値 |
AOR(n=4,012) [95%CI] |
P値 |
AOR(n=5,294) [95%CI] |
P値 |
|
年齢 |
<65 |
5,388 |
190 (3.53) |
1.00 |
1.00 |
1.00 |
|||
|
≧65 |
7,028 |
163 (2.32) |
0.65 [0.53-0.80] |
<0.001 |
0.50 [0.32-0.79] |
0.003 |
0.53 [0.36-0.77] |
0.001 |
|
|
性別 |
男性 |
7,614 |
241 (3.17) |
1.00 |
1.00 |
1.00 |
|||
|
女性 |
4,802 |
112 (2.33) |
0.73 [0.58-0.92] |
<0.001 |
0.77 [0.51-1.18] |
0.233 |
0.82 [0.57-1.18] |
0.288 |
|
|
糖尿病罹病期間 |
5年あたり |
8,972 |
0.93 [0.88-0.99] |
0.027 |
0.94 [0.86-1.04] |
0.253 |
|||
|
喫煙状況 |
現在 |
1,700 |
59 (3.47) |
1.35 [0.97-1.87] |
0.075 |
||||
|
過去 |
2,664 |
71 (2.67) |
1.03 [0.75-1.40] |
0.869 |
|||||
|
なし |
3,733 |
97 (2.60) |
1.00 |
||||||
|
HbA1c |
1.0%あたり |
12,150 |
1.29 [1.22-1.35] |
<0.001 |
1.23 [1.13-1.34] |
<0.001 |
1.24 [1.15-1.34] |
<0.001 |
|
|
アルブミン |
-1.0 mg/dLあたり |
9,090 |
5.37 [4.44-6.48] |
<0.001 |
3.60 [2.46-5.27] |
<0.001 |
3.63 [2.64-5.00] |
<0.001 |
|
|
TG |
50 mg/dLあたり |
11,963 |
1.05 [1.03-1.07] |
<0.001 |
1.04 [1.02-1.07] |
0.002 |
1.04 [1.01-1.07] |
0.004 |
|
|
HDL-C |
-10 mg/dLあたり |
11,736 |
1.15 [1.07-1.23] |
<0.001 |
1.04 [0.92-1.17] |
0.560 |
|||
|
高血圧 |
なし |
6,397 |
166 (2.59) |
1.00 |
1.00 |
||||
|
あり |
6,019 |
187 (3.11) |
1.20 [0.97-1.49] |
0.087 |
0.80 [0.51-1.27] |
0.355 |
|||
|
脂質異常症 |
なし |
6,371 |
188 (2.95) |
1.00 |
1.00 |
||||
|
あり |
6,045 |
165 (2.73) |
0.92 [0.75-1.14] |
0.458 |
0.94 [0.62-1.44] |
0.782 |
|||
|
JSDT貧血 |
なし |
11,294 |
244 (2.16) |
1.00 |
1.00 |
1.00 |
|||
|
あり |
1,122 |
109 (9.71) |
4.88 [1.82-2.45] |
<0.001 |
1.95 [1.19-3.21] |
0.008 |
1.34 [1.11-1.62] |
0.002 |
|
|
糖尿病神経障害 |
なし |
10,421 |
262 (2.51) |
1.00 |
1.00 |
||||
|
あり |
1,995 |
91 (4.56) |
1.85 [1.45-2.36] |
<0.001 |
1.26 [0.83-1.91] |
0.287 |
|||
|
糖尿病網膜症 |
なし |
10,090 |
228 (2.26) |
1.00 |
1.00 |
1.00 |
|||
|
あり |
2,326 |
125 (5.37) |
2.46 [1.97-3.07] |
<0.001 |
1.63 [1.05-2.53] |
0.029 |
1.57 [1.10-2.24] |
0.014 |
|
|
CKD Gカテゴリー |
G1 (≧90) |
2,209 |
95 (4.30) |
2.12 [1.49-3.00] |
<0.001 |
1.14 [0.59-2.20] |
0.695 |
1.43 [0.80-2.57] |
0.228 |
|
G2 (60-89) |
6,310 |
103 (1.63) |
0.78 [0.55-1.10] |
0.159 |
0.72 [0.40-1.29] |
0.265 |
0.77 [0.45-1.29] |
0.317 |
|
|
G3a (45-59) |
2,307 |
49 (2.08) |
1.00 |
1.00 |
1.00 |
||||
|
G3b (30-44) |
1,064 |
40 (3.76) |
1.84 [1.20-2.81] |
0.005 |
1.41 [0.70-2.82] |
0.332 |
1.04 [0.55-1.94] |
0.911 |
|
|
G4 (15-30) |
396 |
49 (12.37) |
6.65 [4.40-10.04] |
<0.001 |
2.18 [1.03-4.59] |
0.041 |
1.98 [1.04-3.47] |
0.036 |
|
|
G5 (<15) |
81 |
17 (20.99) |
12.51 [6.83-22.90] |
<0.001 |
2.10 [0.54-8.15] |
0.283 |
3.17 [1.22-8.25] |
0.018 |
|
|
CKD Aカテゴリー |
A1 |
7,067 |
100 (1.42) |
1.00 |
1.00 |
1.00 |
|||
|
A2 |
1,085 |
27 (2.49) |
1.78 [1.16-2.73] |
0.009 |
1.02 [0.52-2.02] |
0.948 |
1.34 [0.74-2.42] |
0.336 |
|
|
A3 |
2,051 |
152 (20.51) |
5.58 [4.31-7.21] |
<0.001 |
2.03 [1.26-3.27] |
0.004 |
2.43 [1.61-3.68] |
<0.001 |
|
|
冠動脈疾患 |
なし |
10,956 |
309 (2.82) |
1.00 |
|||||
|
あり |
1,460 |
44 (3.01) |
1.07 [0.78-1.48] |
0.676 |
|||||
|
脳血管疾患 |
なし |
11,547 |
323 (2.80) |
1.00 |
|||||
|
あり |
869 |
30 (3.45) |
1.24 [0.85-1.82] |
0.263 |
|||||
|
PAD |
なし |
12,039 |
339 (2.82) |
1.00 |
|||||
|
あり |
377 |
14 (3.71) |
1.33 [0.77-2.29] |
0.303 |
|||||
|
慢性心不全 |
なし |
11,923 |
316 (2.65) |
1.00 |
1.00 |
1.00 |
|||
|
あり |
493 |
37 (7.51) |
2.98 [2.09-4.24] |
<0.001 |
1.87 [1.00-3.47] |
0.049 |
2.01 [1.15-3.51] |
0.014 |
表4:2年追跡期間中のeGFR≧30%低下のリスク因子を同定するためのロジスティック回帰分析
左列:未調整オッズ比。中央列(n=3,205):初回多変量解析の調整オッズ比。右列(n=4,355):最終多変量解析の調整オッズ比。
|
変数 |
カテゴリー |
総数 |
イベント(%) |
OR [95%CI] |
P値 |
AOR(n=3,205) [95%CI] |
P値 |
AOR(n=4,355) [95%CI] |
P値 |
|
年齢 |
<65 |
4,781 |
259 (5.42) |
1.00 |
1.00 |
1.00 |
|||
|
≧65 |
6,376 |
288 (4.52) |
0.83 [0.70-0.98] |
0.03 |
0.86 [0.57-1.30] |
0.466 |
0.88 [0.63-1.22] |
0.443 |
|
|
性別 |
男性 |
6,718 |
351 (5.22) |
1.00 |
1.00 |
1.00 |
|||
|
女性 |
4,439 |
196 (4.42) |
0.84 [0.70-1.00] |
0.053 |
1.30 [0.86-1.97] |
0.205 |
1.32 [0.94-1.97] |
0.105 |
|
|
喫煙状況 |
現在 |
1,531 |
99 (6.47) |
1.45 [1.12-1.88] |
0.005 |
2.15 [1.35-3.45] |
0.001 |
1.64 [1.10-2.43] |
0.014 |
|
過去 |
2,510 |
115 (4.58) |
1.01 [0.79-1.29] |
0.943 |
1.32 [0.85-2.05] |
0.943 |
0.95 [0.66-2.39] |
0.795 |
|
|
なし |
3,412 |
155 (4.54) |
1.00 |
1.00 |
1.00 |
||||
|
HbA1c |
1.0%あたり |
12,150 |
1.19 [1.13-1.25] |
<0.001 |
1.13 [1.03-1.24] |
0.009 |
1.07 [0.99-1.16] |
0.098 |
|
|
アルブミン |
-1.0 mg/dLあたり |
8,117 |
6.59 [5.48-7.92] |
<0.001 |
3.32 [2.24-4.92] |
<0.001 |
3.56 [2.24-4.92] |
<0.001 |
|
|
TG |
50 mg/dLあたり |
10,890 |
1.06 [1.04-1.08] |
<0.001 |
1.09 [1.04-1.14] |
<0.001 |
1.06 [1.02-1.11] |
0.002 |
|
|
HDL-C |
-10 mg/dLあたり |
11,736 |
1.15 [1.07-1.23] |
<0.001 |
0.91 [0.82-1.00] |
0.057 |
|||
|
高血圧 |
なし |
5,380 |
177 (3.29) |
1.00 |
1.00 |
1.00 |
|||
|
あり |
5,777 |
370 (6.40) |
2.01 [1.67-2.42] |
<0.001 |
1.80 [1.14-2.83] |
0.012 |
1.72 [1.89-2.48] |
0.004 |
|
|
脂質異常症 |
なし |
5,231 |
241 (4.61) |
1.00 |
1.00 |
||||
|
あり |
5,926 |
306 (5.16) |
1.13 [0.95-1.34] |
0.174 |
0.87 [0.59-1.30] |
0.501 |
|||
|
JSDT貧血 |
なし |
10,187 |
305 (3.78) |
1.00 |
1.00 |
1.00 |
|||
|
あり |
970 |
162 (16.70) |
5.10 [4.19-6.22] |
<0.001 |
1.63 [1.01-2.64] |
0.045 |
1.62 [1.10-2.39] |
0.016 |
|
|
糖尿病神経障害 |
なし |
9,289 |
390 (4.20) |
1.00 |
1.00 |
1.00 |
|||
|
あり |
1,868 |
157 (8.40) |
2.09 [1.73-2.54] |
<0.001 |
1.62 [1.15-2.30] |
0.006 |
1.49 [1.0-2.03] |
0.011 |
|
|
糖尿病網膜症 |
なし |
8,947 |
335 (3.74) |
1.00 |
1.00 |
1.00 |
|||
|
あり |
2,210 |
212 (9.59) |
2.73 [2.28-3.26] |
<0.001 |
1.63 [1.05-2.53] |
0.029 |
1.42 [1.04-1.93] |
0.029 |
|
|
CKD Gカテゴリー |
G1 (≧90) |
1,912 |
118 (6.17) |
1.77 [1.32-2.38] |
<0.001 |
1.51 [0.80-2.85] |
0.201 |
2.35 [1.38-3.99] |
0.002 |
|
G2 (60-89) |
5,737 |
150 (2.61) |
0.72 [0.55-0.95] |
0.023 |
0.94 [0.55-1.60] |
0.814 |
1.20 [0.76-1.90] |
0.44 |
|
|
G3a (45-59) |
2,153 |
77 (3.58) |
1.00 |
1.00 |
1.00 |
||||
|
G3b (30-44) |
963 |
88 (9.14) |
2.71 [1.98-3.72] |
<0.001 |
1.57 [0.85-2.88] |
0.148 |
1.53 [0.91-2.58] |
0.11 |
|
|
G4 (15-30) |
345 |
95 (27.54) |
10.2 [7.38-14.22] |
<0.001 |
3.99 [2.11-7.55] |
<0.001 |
4.12 [2.42-7.03] |
<0.001 |
|
|
G5 (<15) |
47 |
19 (40.43) |
18.3 [9.79-34.19] |
<0.001 |
3.48 [0.71-16.98] |
0.123 |
2.62 [0.80-8.53] |
0.111 |
|
|
CKD Aカテゴリー |
A1 |
6,451 |
134 (2.08) |
1.00 |
1.00 |
1.00 |
|||
|
A2 |
1,071 |
37 (3.45) |
1.69 [1.16-2.44] |
0.006 |
0.43 [0.17-1.05] |
0.063 |
0.76 [0.41-1.41] |
0.381 |
|
|
A3 |
1,834 |
268 (14.61) |
8.07 [6.51-10.00] |
<0.001 |
2.93 [1.95-4.39] |
<0.001 |
3.33 [2.36-4.70] |
<0.001 |
|
|
冠動脈疾患 |
なし |
9,731 |
438 (4.50) |
1.00 |
1.00 |
||||
|
あり |
1,426 |
109 (7.64) |
1.76 [1.41-2.18] |
<0.001 |
1.12 [0.71-1.76] |
0.636 |
|||
|
脳血管疾患 |
なし |
10,336 |
492 (4.76) |
1.00 |
1.00 |
||||
|
あり |
821 |
55 (6.70) |
1.44 [1.08-1.92] |
0.014 |
1.03 [0.60-1.76] |
0.916 |
|||
|
PAD |
なし |
10,793 |
505 (4.68) |
1.00 |
1.00 |
||||
|
あり |
364 |
42 (11.54) |
2.66 [1.90-3.71] |
<0.001 |
1.49 [0.79-2.82] |
0.215 |
|||
|
慢性心不全 |
なし |
10,696 |
478 (4.47) |
1.00 |
1.00 |
1.00 |
|||
|
あり |
461 |
69 (14.97) |
3.76 [2.87-4.94] |
<0.001 |
2.20 [1.28-3.78] |
0.004 |
2.27 [1.48-3.50] |
<0.001 |
略語:A=アルブミン/クレアチニン比、BMI=体格指数、CAD=冠動脈疾患、CHF=慢性心不全、CKD=慢性腎臓病、G=グレード、HbA1c=ヘモグロビンA1c、HDL-C=高密度リポ蛋白コレステロール、JSDT=日本透析医学会、PAD=末梢動脈疾患、TG=トリグリセリド。
J Diabetes Investig. 2026 Feb;17(2):242-255.
考察
本研究はJ-DREAMSデータセットを活用し、1年および2年にわたるeGFRの経時的変化を追跡し、≧30%の持続的低下に関連する臨床因子を同定した。我々の知見は、腎機能悪化の予測において、貧血、低アルブミン血症、トリグリセリド高値、糖尿病網膜症、進行CKD、およびCHFの一貫した役割を浮き彫りにしている。これらの結果は、心腎貧血症候群の概念とその糖尿病集団における意義を裏付けるものである。
eGFR slopeは研究の場における腎予後の評価ツールとして有用性が認められてきたが、その日常臨床への応用は依然として限定的である。主な課題の一つは、その算出方法、特に使用すべきeGFR測定の期間と頻度に関するコンセンサスの欠如である。eGFR slopeはCKDの進行予測に推奨される指標であるが、その算出にはしばしば混合効果モデルなどの複雑な統計モデリングが必要であり、臨床の場での実用的な適用を妨げ得る。これに対処するため、我々はより直感的で時間限定的なアウトカム、すなわち1年および2年時点でのeGFR≧30%低下を採用した。複雑なslope計算とは対照的に、本研究ではより直感的でアクセスしやすい腎機能低下の評価方法を利用した。このアプローチはより明確な臨床的意義を提供し、ハイリスク個人の早期同定を促進し得る。
我々の知見は、日本で実施された先行研究と一致しており、これらの研究は糖尿病患者における貧血、低アルブミン血症、および腎機能低下の関連を報告している。しかし、これらの研究の多くは小規模サンプルに限定されているか、腎機能が保たれている患者や正常アルブミン尿の患者など特定のサブグループに焦点を当てていた。日本全国の糖尿病専門医からの標準化された臨床データを統合するJ-DREAMSデータベースを活用することで、本研究は実臨床における糖尿病診療のより広範かつ代表的な解析を提供する。
国際的にも、ヨーロッパ、米国、中国を含む多様な集団において同様のリスク因子が報告されている。先行する画期的な研究は主に、より長期間にわたるeGFRの軌跡に焦点を当ててきた:Krolewski et al.は中央値6.6年にわたり患者を追跡してESRDへの直線的低下パターンを特徴づけ、より高いHbA1c値と上昇したACRを急速な進行のリスク因子として同定した。米国のCRIC研究はCKD患者を中央値7.0年間追跡し、血漿NT-proBNPの上昇を加速的低下の独立した予測因子として同定した。Jiang et al.は中央値13.0年間患者を追跡してステージ5 CKD/ESKDに向かうeGFR低下の軌跡パターンを同定し、微量アルブミン尿と網膜症を加速的eGFR低下の主要予測因子とした。別の研究でJiang et al.は、20のコホート研究のシステマティックレビューとメタ解析からDKDリスク予測モデルを導出し、中国人コホート(追跡中央値2.9年)で検証を行い、早期DKDの9つの主要予測因子として年齢、BMI、喫煙状況、糖尿病網膜症、HbA1c、収縮期血圧、HDL-C、トリグリセリド、およびACRを同定した。Chen et al.は3年間の前向き多施設コホート研究を実施し、収縮期血圧の上昇、DKD病因、血清アルブミンの低下、およびより進行したCKDステージがeGFR 50%低下または腎代替療法の開始を独立して予測することを見出した。これらの研究はデザイン、対象集団の特性、およびアウトカムの定義がかなり異なるが、複数の共通するリスク因子が異なる地理的地域および研究設定を横断して浮上している。我々の知見は、短期的なeGFR低下が、長期的なslopeよりも、リスク層別化のための実用的かつ有意義なエンドポイントとなり得ることを示すことで、この一連のエビデンスを補完するものである。
低血清アルブミンは、基礎にある栄養不良または慢性炎症を反映している可能性がある。先行研究では、高血糖誘発性の酸化ストレスと炎症経路が2型糖尿病の病態形成に関連付けられている。英国の大規模コホート研究でも、アルブミン値の低下が糖尿病およびその細小血管合併症の発生率増加と関連することが示されており、我々の観察と一致している。
糖尿病集団における高頻度の併存症である貧血は、我々の解析においてeGFR低下の頑健なリスク因子として浮上し、先行報告と一致していた。先行研究では、CKDステージを横断して糖尿病患者のヘモグロビン値が一般に低いこと、また貧血がDKD進行の早期に出現し得ることが示されている。さらに、貧血は細小血管および大血管合併症の両方と、また腎機能の加速的喪失と独立して関連することが報告されている。
CHFもまた、eGFR低下の共通リスク因子として同定された。CRIC研究およびその他の縦断的解析により、心臓バイオマーカー、蛋白尿、および腎アウトカムの関連が示されている。Julián et al.は心不全と2型糖尿病を有する外来患者の前向きレジストリ研究を実施し、高齢、非虚血性心不全の病因、HFpEFまたはHFmrEF、血糖コントロール不良、および高いベースラインeGFRがより顕著な腎機能低下と関連し、eGFRの低下が全死亡率の増加と独立して関連することを見出した。心不全、CKD、および貧血が相互に増悪するという心腎貧血症候群の概念が注目を集めており、我々の知見はこの相互作用が糖尿病集団において特に関連性が高い可能性を示唆している。組織病理学的研究では、間質線維化と尿細管萎縮がヘモグロビンの低下とより不良な腎アウトカムに関連することがさらに示されている。
CKDにおける一般的な脂質異常である高トリグリセリド血症もまた、一貫した予測因子であった。先行研究により、TGの上昇とHDL-Cの低下がDKD発症に関連することが示されている。
いくつかの知見についてはさらなる検討が必要である。一般に高齢はDKDのリスク因子と考えられているが、我々のデータは65歳未満の若年者がより短い期間でのeGFR急速低下に感受性が高い可能性を示唆している。同様に、HbA1c高値は1年時点では予測的であったが2年時点ではそうではなく、これはベースライン値への依存と経時的な血糖変動の反映不足による可能性がある。逆に、喫煙と高血圧は2年時点でのみ有意であり、動脈硬化性機序がより長い期間においてより大きな影響を及ぼす可能性を示唆している。
研究の限界
いくつかの限界を認識すべきである。第一に、薬物データが利用できなかったため、臨床変数と腎アウトカムの関連に交絡を生じさせている可能性がある。第二に、施設間で患者を追跡できなかったため、縦断的追跡が制限されている可能性がある。第三に、鉄の状態およびエリスロポエチン値(貧血関連の腎リスクの重要な修飾因子)がデータセットに含まれていなかった。さらに、J-DREAMSレジストリは病院ベースであり、特にプライマリケアや地域の場で管理されている患者を含む一般的な糖尿病集団を完全に代表していない可能性がある。地域コホートやレセプトデータベースと比較して、病院レジストリは集団カバレッジの面で網羅性が低い可能性がある。したがって、我々の知見をより広い集団に外挿する際には注意が必要である。
しかしながら、J-DREAMSデータベースはこの限界を部分的に相殺する独自の強みを有している。糖尿病診療のために特別に設計されており、レセプトベースの研究では得られないことの多い詳細な臨床情報(検査結果、疾患のステージング、医師が確認した診断)を含んでいる。これらの特徴により、より精密な表現型分類とリスク層別化が可能となり、これは糖尿病における腎予後の理解に不可欠である。
結論
本研究は、大規模な実臨床レジストリを用いて日本人糖尿病患者における短期的eGFR低下の主要な臨床的予測因子を同定し、糖尿病網膜症や進行した腎障害といった確立された寄与因子に加えて、貧血、血清アルブミン低下、および心不全が糖尿病患者におけるeGFRの持続的低下を独立して予測することを示した。
臨床的に解釈しやすいアウトカムに焦点を当て、幅広い患者集団を対象とすることで、我々の知見は糖尿病診療における腎リスク評価と管理の改善に対する実行可能な洞察を提供する。
日本の医療への適用(訳者追記)
※以下は原文にない追加情報であり、日本の臨床現場への示唆として付記する。
1. 日本のガイドラインとの整合性
本研究はJ-DREAMSという日本独自の大規模糖尿病レジストリを用いており、その結果は日本の実臨床データに直接基づいている。JSDT基準による貧血定義(性別・年齢別に層別化されたヘモグロビン閾値)を採用しており、日本腎臓学会のCKD診療ガイドライン2024およびエビデンスに基づくCKD診療ガイドライン2023とも整合する。特に、CKDのGステージ・Aカテゴリー分類は日本のガイドラインと同一の分類体系を用いている。心腎貧血症候群の概念は、日本循環器学会・日本心不全学会の心不全診療ガイドラインにおいても腎連関として重要視されており、本研究の知見と方向性が一致する。
2. 保険診療での実施可能性
本研究で同定されたリスク因子の評価に必要な検査項目(血清クレアチニン、eGFR、ヘモグロビン、血清アルブミン、トリグリセリド、尿中アルブミン/クレアチニン比)はすべて日本の保険診療下で測定可能であり、追加コストなく日常診療に組み込むことができる。特に血清アルブミンと貧血の評価は既存の定期検査で網羅されており、特別な追加検査を要しない。CKD患者においては、これらの検査を定期的にモニタリングし、複数のリスク因子が集積する患者を「eGFR急速低下ハイリスク群」として重点的にフォローする体制が、現行の保険制度の枠内で構築可能である。
3. 日本人での再現性
本研究自体が日本人糖尿病患者27,335人(うちeGFR評価対象12,416人/11,157人)を対象とした大規模研究であり、日本人における結果の再現性は本研究自体が強力に示している。J-DREAMSは日本全国の糖尿病専門医療機関から標準化された臨床データを収集しており、日本の専門施設における糖尿病診療の実態を反映している。ただし、病院ベースのレジストリであるため、プライマリケアや地域診療所で管理されている軽症の糖尿病患者は含まれない点に留意が必要である。今後、日本のレセプトデータベースや地域コホート研究において、同様のリスク因子が確認されるかを検証することが重要である。
🎧 耳で聴きたい方はこちら
音声でもお楽しみいただけます(2倍速・約18分)