URL:https://www.jstage.jst.go.jp/article/circj/advpub/0/advpub_CJ-20-0567/_article/-char/ja
タイトル:Different Impact of Resting Heart Rate on Adverse Events in Paroxysmal and Sustained Atrial Fibrillation ― The Fushimi AF Registry ―
<概要(意訳)>
背景:
心拍数(HR)は、心房細動(AF)の重要な要因である。しかしながら、HRの影響が発作性心房細動と持続性(持続性、永続性)心房細動の間で異なるかどうかは未だ分かっていない。
方法:
伏見AFレジストリーに登録された1,064例の発作性AF患者と1,610例の持続性AF患者における安静時HRと追跡期間360日(1年間)と2,920日(全体)の有害転帰[全ての原因による死亡、心不全による入院、脳卒中/全身性塞栓症、心筋梗塞、不整脈イベントの複合]との関連を調査した。
また、これらの患者を安静時の心拍数(1分間の拍動回数)に基づいて4群[≧110 bpm、80-109bpm、60-79bpm、<60bpm]に分類した。
結果:
発作性AF患者の心拍数の内訳は、[≧110 bpm:488例(45.9%)、80-109bpm:388例(36.4%)、60-79bpm:166例(15.6%)、<60bpm:22例(2.1%)]であった。
持続性AF患者の心拍数の内訳は、[≧110 bpm:206例(12.8%)、80-109bpm:720例(44.7%)、60-79bpm:616例(38.3%)、<60bpm:68例(4.2%)]であった。
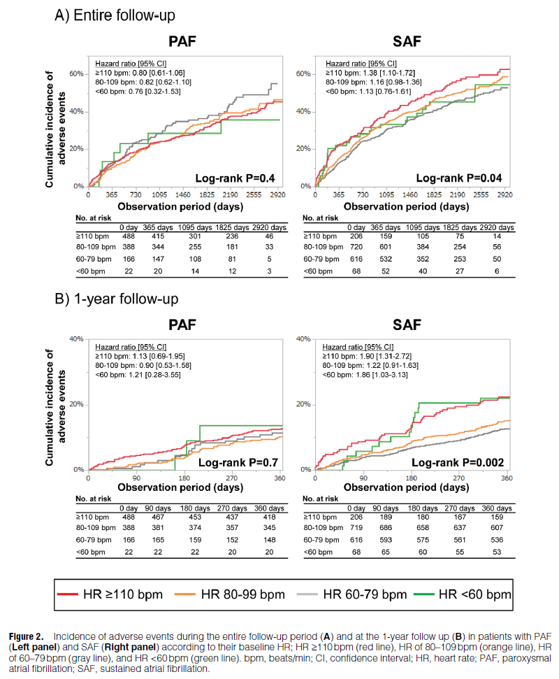
60-79bpmと比較した、「発作性心房細動患者」における「追跡1年間」の累積有害転帰発症率のハザード比[HR(95%CI)]は、それぞれ、
≧110 bpm:1.13(0.69-1.95)
80-109bpm:0.90(0.53-1.58)
<60bpm:1.21(0.28-3.55)となり、4群間で交互作用はなかった(Log-rank p=0.7)。
60-79bpmと比較した、「持続性心房細動患者」における「追跡1年間」の累積有害転帰発症率のハザード比[HR(95%CI)]は、それぞれ、
≧110 bpm:1.90(1.31-2.72)
80-109bpm:1.22(0.91-1.63)
<60bpm:1.86(1.03-3.13)となり、4群間で交互作用がみられた(Log-rank p=0.002)。
60-79bpmと比較した、「発作性心房細動患者」における「追跡全期間」の累積有害転帰発症率のハザード比[HR(95%CI)]は、それぞれ、
≧110 bpm:0.80(0.61-1.06)
80-109bpm:0.82(0.62-1.10)
<60bpm:0.76(0.32-1.53)となり、4群間で交互作用はなかった(Log-rank p=0.4)。
60-79bpmと比較した、「持続性心房細動患者」における「追跡全期間」の累積有害転帰発症率のハザード比[HR(95%CI)]は、それぞれ、
≧110 bpm:1.38(1.10-1.72)
80-109bpm:1.16(0.98-1.36)
<60bpm:1.13(0.76-1.61)となり、4群間で交互作用がみられた(Log-rank p=0.04)。

Circulation Journal doi: 10. 1253/circj. CJ-20-0567
多変量解析(Cox比例ハザードモデル)による、全体期間の有害転帰リスクが有意に高くなった「発作性AF細動患者」の因子は、それぞれ、
年齢≧75歳:HR 2.11(95%CI 1.67–2.68)
体重≦50Kg:HR 1.44 (95%CI 1.10–1.89)
脳卒中/全身性塞栓症:HR 1.64(95%CI 1.25–2.12)
心不全:HR 1.82(95%CI 1.38–2.37)
CKD:HR 1.43(95%CI 1.14–1.80)
貧血(ヘモグロビン<11g/dL):HR 1.66(95%CI 1.26–2.16)
冠動脈疾患:HR 1.43(95%CI 1.10–1.85) となった。
多変量解析(Cox比例ハザードモデル)による、全体期間の有害転帰リスクが有意に高くなった「持続性AF細動患者」の因子は、それぞれ、
年齢≧75歳:HR 1.67(95%CI 1.40–1.99)
体重≦50Kg:HR 1.63 (95%CI 1.32–2.02)
脳卒中/全身性塞栓症:HR 1.35(95%CI 1.14–1.59)
心不全:HR 1.49(95%CI 1.25–1.78)
CKD:HR 1.36(95%CI 1.16–1.61)
貧血(ヘモグロビン<11g/dL):HR 1.73(95%CI 1.42–2.11)
冠動脈疾患:HR 1.32 (95%CI 1.08–1.60)
60-79bpmと比較した高心拍(≧110bpm):HR 1.32(95%CI 1.03–1.68) となった。

Circulation Journal doi: 10. 1253/circj. CJ-20-0567
結論:
伏見AFレジストリーにおいて、発作性心房細動患者と持続性心房細動患者の安静時心拍数は異なっていた(ぞれぞれ、108.9±28.9bpm vs 86.6±22.4bpm)。
60-79bpmの心拍数と比較して、高心拍数(≧110bpm)の持続性心房細動患者の有害転帰リスクは、フォローアップ1年時と全体期間で有意に高かった。
低心拍数(<60bpm)の持続性心房細動患者の有害転帰リスクは、フォローアップ1年時で有意に高かった。
しかしながら、発作性心房細動患者の有害転帰リスクは、心拍数の違いと有害転帰リスクに関連がみられなかった。

Circulation Journal doi: 10. 1253/circj. CJ-20-0567