PubMed URL:https://pubmed.ncbi.nlm.nih.gov/31912605/
タイトル:Randomized, double‐blind, placebo‐controlled, multicentre pilot study on the effects of empagliflozin on clinical outcomes in patients with acute decompensated heart failure (EMPA‐RESPONSE‐AHF)
<概要(意訳)>
背景:
SGLT2阻害薬は、慢性心不全患者の死亡および心不全(HF)入院リスクを減少させる。
しかしながら、急性非代償性心不全患者(突然発症した心不全あるいは徐々に増悪した心不全のために予定していなかった入院が必要となった患者)におけるSGLT2阻害薬の臨床的有効性と安全性は未だ明らかでない。
本研究では、糖尿病の有無に関わらず急性HFで入院した患者に対するSGLT2阻害薬(エンパグリフロジン10㎎/日)の有用性を検討するパイロット研究を実施した。
方法:
EMPA-RESPONSE-AHF試験(多施設共同、無作為化、二重盲検、プラセボ対照、並行群間、比較試験)では、糖尿病の有無に関わらず、急性HF患者80例をSGLT2阻害薬(エンパグリフロジン10㎎/日)またはプラセボを30日間無作為に割り付けた。
適格患者の条件は、「18歳以上の男女、BNP≧350pg/mLまたはNT-proBNP≧1,400 pg/mL(心房細動患者の場合は、BNP≧500pg/mLまたはNT-proBNP≧2,000 pg/mL)、eGFR≧30 mL/min/1.73m2」等であった。
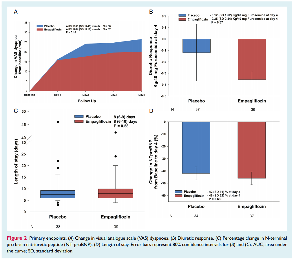
主要評価項目は、治験薬投与4日間の「①呼吸困難(VAS)スコアの変化、②ループ利尿薬の反応性[フロセミド等価換算量として、Δ体重kg / [(総静脈内投与量)/ 40 mg] + [(総経口投与量)/ 80 mg)]と定義]、③入院期間、④NT-proBNPの変化」であった。
副次評価項目は、「院内でのHF悪化、30~60日目までの全死亡および/またはHF再入院」であった。
結果:
2017年12月~2019年7月の間、オランダの5施設で80例の急性心不全患者が登録され、
SGLT2阻害薬群で40例、プラセボ群で39例が分析対象となった。
被験者の平均年齢は76歳、女性は33%、急性HFの再発は47%、平均左室駆出率(LVEF)は36%、NT-proBNPの中央値は5,236pg/mLであった。
ベースライン特性は、SGLT2阻害薬群の年齢が高くと女性割合が多く、NT-proBNPレベルは低い傾向はあったが、両群間でバランスがとれていた。
「4日間における呼吸困難(VAS)スコア変化のAUC」は、SGLT2阻害薬群では1264±1211 mm×h)、プラセボ群では1650±1240 mm×hとなり、同等であった(p=0.18)。
「4日間におけるループ利尿薬の反応性(参考:フロセミドを経口で投与した場合その吸収率は約50%なので静注20mgと同様の作用を期待するなら経口40mgが必要になる)」は、SGLT2阻害薬群では(-0.35±0.44)kg/40 mg、プラセボ群では(-0.12±1.52 kg/40 mgとなり、同等であった(p=0.37)。
ループ利尿薬の投与量(フロセミド等価換算の中央値)は、SGLT2阻害薬群では320(194–466)mg、プラセボ群では300(200–500)mgであった(p=0.94)。
「入院期間」は、SGLT2阻害薬では8(6–10)日、プラセボ群では8(6–9)日となり、同等であった(p=0.58)。
「4日目におけるNT-proBNPの変化率」は、SGLT2阻害薬群では-46±32%、プラセボ群では-42±31%となり、同等であった(p=0.63)。
これら4つの主要評価項目は、急性心不全の再発患者と初回患者のサブグループでも一貫した結果が示された。
また、Zスコアによって標準化された4つの主要評価項目の合計Zスコアは、両群間で有意な差はなかった[平均差-0.019(95%CI -0.306〜0.269)、p=0.90]。


Eur J Heart Fail. 2020 Apr;22(4):713-722.
副次評価項目の「院内でのHF悪化、全死亡、60日でのHF再入院の複合エンドポイント」は、SGLT2阻害薬群では4例(10%)、プラセボ群では13例(33%)の発生があり、SGLT2阻害薬で有意な減少を示した(p=0.014)。
1日目の尿量は、プラセボ群(2400±993 mL)と比較して、SGLT2阻害薬群(3442±1922 mL)の方が有意に多かった(p=0.013)。
1日目の体液量減少も、プラセボ群(-1007±1049 mL)と比較して、SGLT2阻害薬群(-2163±1896 mL)の方が有意に多かった(p=0.009)。
4日間の累積尿量の差(3449、95%CI 578~6321 mL)は、SGLT2阻害薬群の方が有意に大きかった(p=0.02)が、体液量の減少には差がなかった(2701、95%CI -586〜8988 mL、p=0.10)。
4日間の体重変化は、SGLT2阻害薬群では-2.83±3.15 kg、プラセボ群では-2.30±3.26kgとなり、同等であった(p=0.48)。


Eur J Heart Fail. 2020 Apr;22(4):713-722.
「安全性」において、心血管系の有害事象は、プラセボ群と比較して、SGLT2阻害薬群で有意に少なかった(9件 vs 17件、p=0.046)が、HF悪化のイベントが主な原因であった。
また、SGLT2阻害薬群で特に多く観察された、尿路感染症やその他の副作用はなかった。
結論:
急性非代償性心不全患者を対象としたパイロット研究では、SGLT2阻害薬(エンパグリフロジン10㎎/日)は安全で忍容性が良好であったが、「呼吸困難スコア、利尿薬反応性、NT-proBNP変化、入院期間」は有意な改善は示さなかった。
しかしながら、尿量増加や「心不全の悪化、60日間における心不全再入院、全死亡の複合エンドポイント」のリスク低下が示された。
今後、急性心不全患者におけるSGLT2阻害薬の有用性を更に研究するには、大規模臨床試験が必要だろう。
【参考情報】
心不全の症状
https://www.kango-roo.com/learning/7220/
呼吸困難の評価
https://www.jspm.ne.jp/guidelines/respira/2016/pdf/02_04.pdf
各種利尿薬の特徴と投与法