PubMed URL:https://pubmed.ncbi.nlm.nih.gov/32377235/
タイトル:The extracellular volume status predicts body fluid response to SGLT2 inhibitor dapagliflozin in diabetic kidney disease
<概要(意訳)>
背景:
SGLT2阻害薬は、利尿作用を持つ経口血糖降下薬である。
最近、我々は、SGLT2阻害薬が過剰な細胞外液量を改善し、尿量をわずかに増加させることを報告した。
しかしながら、SGLT2阻害薬に対する体液反応に対する治療前の細胞外液量に与える影響は未だ分かっていない。
方法:
36例の糖尿病性腎臓病(DKD)患者がSGLT2阻害薬で治療された。
生体電気インピーダンス(BIA )法により、ベースラインと7日目の細胞内液量(ICW)、細胞外液量(ECW)、体水分量(TBW)を測定した。
今回使用した体成分分析装置はInBody S10であり、「ECW/TBW(細胞外水分比≒浮腫比)の「正常範囲」は0.36〜0.39で、0.39~0.40は「軽度の浮腫」、>0.40は「浮腫」を意味する。
SGLT2阻害薬(N=36)、ループ利尿薬のフロセミド(N=16)、バソプレシン受容体拮抗薬(N=13)による治療が、ECW/TBW(浮腫比)とECW(細胞外液量)に与える影響を評価した。
結果:
ベースラインと比較した「体重、BMI、BNP(脳性B型ナトリウム利尿ペプチド)、体液パラメーター(ICW、ECW、TBW、ECW/TBW)」は、SGLT2阻害薬の投与1週間で有意に減少した。
SGLT2阻害薬における、高ECW/TBW(中央値≧0.413、N=18)群のECW/TBWの変化量は、低ECW/TBW(中央値<0.413、N=18)群よりも有意に高かった[-2.1±0.4% vs -0.5±0.4%、p=0.006]。
SGLT2阻害薬における、高BNP(中央値≧95.7 pg/mL、N=14)群のECW/TBWの変化量は、低BNP(中央値<95.7 pg/mL、N=13)群よりも有意に高かった[-2.39±0.47% vs -0.03±0.48%, p<0.001]。

Diabetol Metab Syndr.2020 May1; 12: 37.
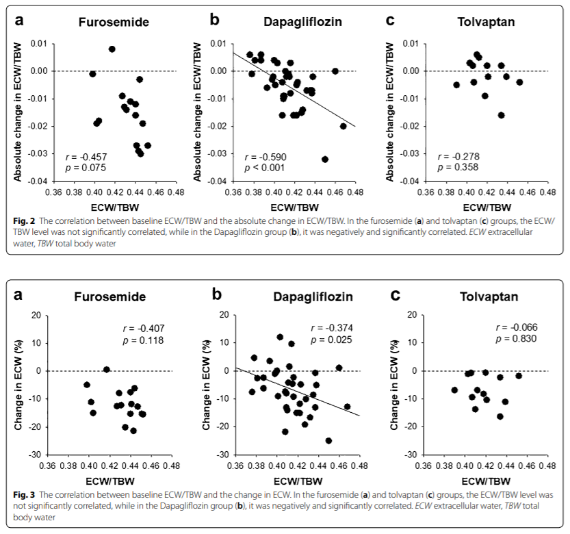
また、ベースラインから7日間の「ECW/TBWとECWの絶対変化量」における相関係数は、それぞれ、(r=-0.590、p <0.001)と(r=-0.374、p=0.025)となり、SGLT2阻害薬のみで有意な負の相関(浮腫比が高いほど細胞外液量が減少)が示された。

Diabetol Metab Syndr.2020 May1; 12: 37.
結論:
治療前(ベースライン)で浮腫比(細胞外水分比)が高い糖尿病性腎臓病(DKD)患者において、SGLT2阻害薬は過剰な細胞外液量の減少効果が期待できるだろう。
重度の細胞外液貯留のある患者を除き、SGLT2阻害薬による治療は適切な体液組成の維持に寄与することが示唆された。
【参考情報】
InBody S10 -何ができて誰に必要なのか-
https://www.inbody.co.jp/inbody-s10-what-can-we-do/
相関係数