PubMed URL:https://pubmed.ncbi.nlm.nih.gov/30586745/
タイトル:Twenty-Four-Hour Blood Pressure-Lowering Effect of a Sodium-Glucose Cotransporter 2 Inhibitor in Patients With Diabetes and Uncontrolled Nocturnal Hypertension: Results From the Randomized, Placebo-Controlled SACRA Study
<概要(意訳)>
序論:
SGLT2阻害薬は、尿中へのグルコース排泄を促進することで血糖降下作用を示す経口血糖降下薬です。
この薬剤は血糖値を下げるだけでなく、体重減少や血圧低下作用も併せ持つことが確認されています。
EMPA-REG OUTCOME試験では、心血管リスクの高い2型糖尿病患者を対象に、エンパグリフロジンとプラセボを比較検討しました。
その結果、エンパグリフロジン投与群では、心血管死や全死亡、心不全による入院、糖尿病性腎症の進行が有意に抑制されました。
外来血圧はエンパグリフロジンにより低下することが示されましたが、24時間血圧(特に夜間や早朝の血圧)の低下が心血管イベント抑制にどの程度寄与しているかは不明でした。特に、夜間高血圧(いわゆる夜間血圧の非ディッパー型)は、高血圧患者だけでなく一般住民においても、非虚血性心不全を含む心血管疾患の強力な予測因子であることが知られています。
2型糖尿病患者では心血管疾患のリスクが上昇することが知られていますが、特に夜間高血圧を合併する2型糖尿病患者では、心血管疾患や死亡のリスクが著しく高まります。
このことは、2型糖尿病患者において夜間血圧が心血管死亡の重要なリスク因子であり、治療標的となり得ることを示唆しています。
SACRA試験は、夜間高血圧を伴う2型糖尿病患者を対象に、既存の降圧療法にエンパグリフロジンを追加投与した際の夜間血圧への効果を、24時間自由行動下血圧測定(ABPM)を用いて検討した研究です。
方法:
SACRA試験は、日本国内の複数施設で実施された無作為化プラセボ対照二重盲検並行群間比較試験です。
試験実施計画は自治医科大学医学部倫理委員会の承認を得ています。
本試験はヘルシンキ宣言の原則およびICH-GCP(医薬品の臨床試験の実施に関する基準)に従って実施されました。
全ての患者さんには試験参加前に文書による同意を得ました。
なお、本研究のデータ、解析方法、研究資料は、結果の再現や手順の複製を目的とした他の研究者への提供は行いません。
対象患者の適格基準は以下の通りです:
– 20歳以上
– 2型糖尿病(HbA1c 6%以上10%未満)
– 座位外来血圧が収縮期130-159mmHgまたは拡張期80-99mmHg
– 夜間高血圧(ランダム化5日前の睡眠中の午前2時、3時、4時の収縮期血圧が115mmHg以上、オムロンヘルスケア社製HEM-7080-ICで測定)
– ベースラインの8週間以上前から安定した糖尿病治療を受けている
– ARBを含む安定した降圧療法を8週間以上継続している
主な除外基準は、糖尿病性ケトアシドーシスや糖尿病性昏睡の既往、腎障害、肝障害、およびランダム化前3ヶ月以内の心血管イベントでした。
<治療割付>
8週間の導入期間後、適格患者をエンパグリフロジン10mg群またはプラセボ群に1:1の比率で無作為に割り付け、12週間にわたり1日1回投与しました。
無作為化はコンピュータ生成の擬似乱数列を用い、夜間収縮期血圧、年齢、性別、実施施設で層別化して実施されました。降圧薬と糖尿病治療薬は、担当医の判断で変更可能としました。
<評価項目>
来院スケジュールは、ベースライン時、4週目、8週目、12週目としました。
各来院の5日前から連続して、検証済みの血圧計(HEM-7080-IC)を用いて朝の家庭血圧を測定しました。また、各来院時に診察室血圧を測定しました。
24時間自由行動下血圧測定(ABPM)は、ベースライン時と12週目に、既報の方法に従って実施しました。
具体的には、オシロメトリック法による自動血圧計(TM2431;エー・アンド・デイ社、東京)を用いて、30分ごとに24時間にわたり血圧と脈拍を記録しました。
24時間血圧は、24時間の全測定値の平均として定義しました。
夜間血圧は就寝時から起床時までの血圧値の平均として、また日中血圧は残りの時間帯の血圧値から算出しました。
研究期間中、担当医には血糖値の結果は知らされませんでした。
安全性は臨床検査値、有害事象、副作用の発現状況に基づいて評価しました。
<評価項目>
主要評価項目は、「ABPMで測定した夜間収縮期血圧および拡張期血圧のベースラインからの変化量」としました。
重要な副次評価項目は、「12週目における24時間平均収縮期/拡張期血圧および日中血圧のベースラインからの変化量」としました。
その他の副次評価項目として、「12週目における朝の家庭血圧、診察室血圧、HbA1c、体重のベースラインからの変化量」を設定しました。
追加の評価項目には、「LDLコレステロール、HDLコレステロール、NT-proBNP(N末端プロB型ナトリウム利尿ペプチド)、心房性ナトリウム利尿ペプチド、マグネシウム、推算糸球体濾過量(eGFR:男性は194×血清クレアチニン-1.094×年齢-0.287、女性は194×血清クレアチニン-1.094×年齢-0.287×0.739)、尿中アルブミン/クレアチニン比、その他の臨床検査値」を含めました。
結果:
2017年1月から9月の間に、コントロール不良の夜間高血圧を伴う糖尿病患者174名をスクリーニングし、適格基準を満たした132名を無作為化しました。
プラセボ群の1名が治験実施計画書違反により中止となったため、最終的な解析対象は131名(エンパグリフロジン群68名、プラセボ群63名)となりました。
試験期間中、降圧薬の増量を要したのはプラセボ群の1名のみでした。
ベースライン時の背景因子は、プラセボ群でエンパグリフロジン群より脈拍が高かった点(70.7±9.5 vs 67.1±8.3 拍/分、P=0.026)を除き、両群で良好に均衡していました。
<血圧への効果>
エンパグリフロジン群では、夜間収縮期血圧がベースラインから12週目までに有意に低下しました(-6.3mmHg、P=0.004)が、プラセボ群では有意な低下は見られませんでした(-2.0mmHg、P=0.367)。
両群間の差は-4.3mmHgでした(P=0.159、図2)。
日中収縮期血圧と24時間収縮期血圧も、エンパグリフロジン群でのみ有意な低下を示し、ベースラインからの変化量の群間差も統計学的に有意でした(いずれもP<0.001、図2)。
夜間、日中、24時間の拡張期血圧も同様のパターンを示し、エンパグリフロジン群でのみベースラインから有意な低下が認められ、日中および24時間拡張期血圧のベースラインからの低下量は群間で有意な差がありました(図2)。
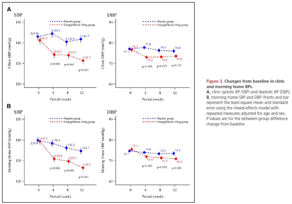
診察室血圧と朝の家庭血圧の収縮期血圧も、エンパグリフロジン群で有意な低下を示し、ベースラインからの変化量の群間差も有意でした(いずれもP<0.001、図3)。


Circulation. 2019 Apr 30;139(18):2089-2097.
<その他の評価項目>
12週後、HbA1cと体重は、プラセボ群と比較してエンパグリフロジン群で有意に大きな低下を示しましたが(いずれもP<0.001)、実数値としての群間差は小さいものでした(それぞれ-1.3kgと-0.33%、図4AとB)。
尿酸値とeGFRの有意な低下は、エンパグリフロジン群で投与4週目の時点に認められました(図4CとD)。
4週目の追跡調査時点では、NT-proBNP値はプラセボ群と比較してエンパグリフロジン群で有意に大きな低下を示しましたが(P=0.013)、12週目では群間差は有意ではありませんでした(P=0.361、オンライン付録図I)。
心房性ナトリウム利尿ペプチドは4週目と12週目の両時点で(オンライン付録図II)、また尿中アルブミン/クレアチニン比は12週目で(オンライン付録図III)、エンパグリフロジン群がプラセボ群と比較して有意に大きな低下を示しました。
各血圧測定時の脈拍数は、両群間で有意な差は認められませんでした(オンライン付録図IV)。
また、試験期間中に降圧薬を変更した患者の割合も、治療群間で有意な差はありませんでした。
脂質値も試験期間を通じて両群で同様でした(オンライン付録表II)。

Circulation. 2019 Apr 30;139(18):2089-2097.
<安全性>
エンパグリフロジンの忍容性は良好でした。
治療期間中に重篤な有害事象は発生せず、新たな安全性シグナルも認められませんでした。
有害事象は、プラセボ群で4例に4件、エンパグリフロジン群で8例に14件発生しました。
このうち、エンパグリフロジン群の7件(口渇、多尿、腰痛、性器そう痒感、疲労、嘔気、便秘が各1件)とプラセボ群の1件(胸焼け)が治療に関連すると判断されました。
低血圧、脱水、尿路感染症、急性腎障害の発生はありませんでした。
考察:
SACRA試験は、ARBを基盤とした降圧療法を行っているにもかかわらず夜間高血圧が持続する2型糖尿病患者を対象として、SGLT2阻害薬の効果を検討した最初の無作為化二重盲検プラセボ対照試験です。
エンパグリフロジンの追加投与により、夜間血圧、診察室血圧、24時間自由行動下血圧、朝の家庭血圧のいずれもベースラインから有意な低下を示しました。
ほとんどの血圧パラメータにおいて、エンパグリフロジン群はプラセボ群と比較して有意に大きな低下を示しました。
唯一、12週目の時点で統計学的有意差が得られなかったのは夜間血圧の低下でした。
しかし、両治療群間の数値的な差(-4.3mmHg)とエンパグリフロジン群でのベースラインからの低下(-6.3mmHg)は、臨床的に重要な意味を持つ可能性が高いと考えられます。
なぜなら、夜間平均収縮期血圧が5mmHg低下すると心血管リスクが20%低下することが、独立した関連因子として報告されているためです。
このハイリスク集団におけるエンパグリフロジンの家庭血圧低下効果は、臨床的にも意義深いものでした。
これは、家庭血圧に基づく高血圧管理が臨床実践における最善のアプローチとされているためです。
日本全国規模の家庭血圧登録研究であるHONEST試験(オルメサルタン新規投与患者における標準的目標血圧を確立するための家庭血圧測定研究)では、治療中の家庭血圧が診察室血圧よりも心血管イベントリスクとより密接に関連することが示されています。
本試験でエンパグリフロジン投与12週後の朝の家庭収縮期血圧は126.6mmHgでした。
これは、HONEST試験で心血管リスクが最小となる朝の収縮期血圧として示された124mmHgに近い値でした。
さらに、SACRA試験における朝の家庭収縮期血圧(13.3mmHg)と診察室収縮期血圧(9.9mmHg)の低下は、臨床的に意義のある大きさでした。
というのも、メタ解析のデータによると、診察室収縮期血圧が10mmHg低下すると、主要心血管イベントが20%、冠動脈疾患が27%、脳卒中が27%、心不全が28%、全死亡が13%減少することが示されているためです。
現在得られているエビデンスに基づくと、家庭収縮期血圧が10mmHg以上低下した場合の心血管リスク低下効果は、診察室収縮期血圧の同程度の低下よりも大きいと考えられます。
この朝の家庭血圧の低下は、特にアジア人患者において重要です。
なぜなら、アジア人は欧米人と比較して、朝の血圧上昇が著しく朝高血圧を呈しやすいことが示されており、脳卒中リスクも高いためです。
エンパグリフロジン治療により、日中および24時間自由行動下血圧の良好な低下が認められました。
これは、本研究の対象が高齢者集団(平均年齢約70歳)であることを考慮すると、特筆すべき結果です。
EMPA-REG BP試験の結果と同様に、本研究でもエンパグリフロジン治療により、夜間血圧と比較して日中血圧でやや大きな低下が認められました。
EMPA-REG BP試験の同用量(10mg/日)と比較して、本研究ではプラセボに対する24時間血圧の低下がより大きいものでした。
24時間収縮期血圧のプラセボに対する低下は、EMPA-REG BP試験の3.44mmHgに対して本研究では7.7mmHgでした。
また、24時間拡張期血圧の低下は、それぞれ2.9mmHgと1.36mmHgでした。
この差異の理由は明確ではありません。
EMPA-REG BP試験では90%以上の患者が、本研究と同様に併用降圧薬を使用していました。
EMPA-REG BP試験ではACE阻害薬の使用率が75%を超えていましたが、ARBの使用に関する情報はありませんでした。一方、本研究では全患者がARBを使用していました。
しかし、EMPA-REG BPデータの解析では、エンパグリフロジンによる血圧低下効果は、併用降圧薬(薬剤数と種類)に依存しないことが示されています。
本研究における24時間血圧の低下は、SGLT2阻害薬の24時間自由行動下血圧への効果を検討した全ての無作為化二重盲検プラセボ対照試験のメタ解析結果(24時間収縮期血圧-3.76mmHg、拡張期血圧-1.83mmHg)と比較しても大きいものでした。
試験間での血圧低下の差異は、患者集団の違いに起因する可能性があります。
SACRA試験の参加者は、高齢(平均年齢約70歳)で、血糖コントロールが良好(平均HbA1c 7.0%未満)であり、夜間高血圧の存在のみを基準に選択されました。
さらに、患者の人種構成も試験間で異なっていました。
SACRA試験の患者は全て日本人でしたが、過去の試験では主に白人が対象でした。
日本人やアジア人は、遺伝的に塩分感受性が高く、食事からの塩分摂取も多い傾向にあります。
しかし、これらの患者特性の違いにもかかわらず、EMPA-REG OUTCOME試験のアジア人参加者におけるエンパグリフロジンの心血管アウトカムと全死亡に対する有益な効果は、全体の患者集団と一致しており、むしろより大きいものでした。
夜間高血圧は塩分感受性の臨床的な表現型であり、体内からのナトリウム排泄のために、より高い血圧を必要とします。
これは左心室と脳循環への負荷を増大させ、結果としてより重度の臓器障害をもたらします。
SGLT2阻害薬の血圧低下作用は、浸透圧利尿と軽度のナトリウム利尿作用による心臓への前負荷の減少によってもたらされる可能性が示唆されています。
SGLT2阻害薬による治療初期の血圧低下には浸透圧利尿が寄与し、長期的な血圧低下にはナトリウム利尿が関与していると考えられます。
ダパグリフロジン6週間投与後には、皮膚組織のナトリウム含有量の有意な減少も報告されています。
SGLT2阻害薬治療中に見られる夜間血圧と比較した日中血圧のより大きな低下は、少なくとも部分的には、これらの薬剤の血糖降下作用がグルコース依存的であることに起因する可能性が示唆されています。
具体的には、食事や水分摂取量が多く血糖値が高くなる日中には利尿作用が強くなり、一方、腎機能の概日リズムにより夜間の尿産生が少なくなるため、エンパグリフロジンによる夜間の血圧低下が比較的小さくなると考えられます。
交感神経トーンの概日変動も、SGLT2阻害薬による日中と夜間の血圧調節の違いを説明する可能性のあるメカニズムの一つです。
特に心血管高リスク患者におけるSGLT2阻害薬の血圧低下の具体的なメカニズムを明らかにするために、さらなる研究が必要です。
血糖低下作用と降圧作用に加えて、エンパグリフロジン治療はEMPA-REG OUTCOME試験と同様に、プラセボと比較して体重と尿酸値の有意な低下も示しました。
NT-proBNPと心房性ナトリウム利尿ペプチドのベースライン値が正常範囲内であったにもかかわらず、エンパグリフロジン投与患者ではこれらのパラメータが有意に低下しました。
ナトリウム利尿ペプチドの低下は、正常範囲内であっても、心血管リスクと死亡率に臨床的に有意な有益効果をもたらす可能性があります。
さらに、尿中アルブミン/クレアチニン比は、プラセボ群と比較してエンパグリフロジン群でより大きな低下を示しました。
本研究は、やや高いBMIを有し血糖コントロールの良好な高齢者集団を対象としましたが、著明な血糖低下を伴わずにナトリウム利尿ペプチドの低下を含むこれらの効果パターンが認められたことは、同様の特徴を持つ心不全患者にとってエンパグリフロジンが有用な治療選択肢となる可能性を示唆しています。
本研究でエンパグリフロジン投与患者に認められたeGFRの低下は進行性ではありませんでした。
過去の臨床研究では、SGLT2阻害薬投与後に血清クレアチニンの上昇を伴うeGFRの急性かつ可逆的な低下が観察されており、これはこれらの薬剤の血行動態への作用と一致します。
SGLT2阻害薬投与後の初期のeGFR低下は、尿細管糸球体フィードバック機構を介した輸入細動脈の収縮に関連している可能性が高いと考えられます。
尿酸値の低下については、SGLT2阻害作用が近位尿細管頂端膜のGLUT9アイソフォーム2による尿酸排泄を促進し、また集合管での尿酸再吸収を抑制する可能性があることで説明できます。
<研究の限界>
本研究の最も重要な限界は、検出力の不足である可能性が高いと考えられます。
サンプルサイズの計算は、治療群とプラセボ群の間の夜間血圧の差を5mmHgと想定して行いましたが、実際の差は4.3mmHgでした。
期待された検出力を下回ったことが、エンパグリフロジン群とプラセボ群の間の夜間血圧のベースラインからの平均変化量の差が統計学的有意差に達しなかった最も可能性の高い説明と考えられます。
さらに、本研究の結果は研究に組み入れられた集団と同様の特徴を持つ集団にのみ適用可能であり、異なる人種の患者での確認が必要です。
結論:
SACRA試験の結果は、SGLT2阻害薬が2型糖尿病と高血圧症において多くの重要な有益性をもたらすことを示唆する証拠の蓄積に新たな知見を加えるものであり、これらの患者にとって価値ある治療選択肢となることを示しています。
夜間高血圧、糖尿病、高塩分感受性などの特定の集団における24時間血圧の低下を目的としたSGLT2阻害薬の使用は、これらの患者における心不全と心血管死亡のリスク低下に寄与する可能性があります。