PubMed URL:https://pubmed.ncbi.nlm.nih.gov/33031736/
タイトル:2-year remission of type 2 diabetes and pancreas morphology: a post-hoc analysis of the DiRECT open-label, cluster-randomised trial
<概要(意訳)>
背景:
2型糖尿病患者の膵臓は小さく、不均一な形をしている。
これらの形態異常が素因ではなく病態により引き起こされるならば、「2型糖尿病の寛解」は「膵臓の形態異常の正常化」と関連性を示すことになる。
本研究では、2型糖尿病の寛解(非糖尿病状態)が認められた患者の「膵臓の体積と形状における2年間の変化」を調査(DiRECT試験を事後解析)した。
方法:
このDiRECT試験(プライマリ・ケアでの集中的な食事・運動療法による体重管理の2型糖尿病の寛解効果を検討した試験)の事後解析では、体重管理の介入群を「レスポンダー(寛解)[HbA1c<6.5%(48mmol/mol)、および空腹時血糖値<7.0mmol/L(126mg/dL)]」群と「ノンレスポンダー(非寛解)」群に分類し、さらにレスポンダー群と患者背景を一致(年齢、性別、減量後の体重で補正)させた非糖尿病群のデータを分析対象とした。
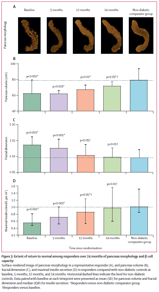
この3群[レスポンダー群:64例、ノンレスポンダー群:26例、非糖尿病群:25例]における「膵臓の体積と膵臓境界の不規則性」に関するデータをベースライン、5ヶ月、12ヶ月、24ヶ月時点で比較した。
混合効果回帰モデルを使用し、反復測定ANOVA(分散分析)により潜在的な交絡因子を補正した。
磁気共鳴技術により「膵臓の体積、境界の不均一性、膵臓内の脂肪含有量」を定量化した。
磁気共鳴技術を使用して、膵臓の体積、辺縁の不規則性、および膵臓内の脂肪含有量を定量化した。また、β細胞機能と組織成長因子のバイオマーカーも測定した。

Lancet Diabetes Endocrinol. 2020 Oct; s2213-8587(20) 30303-X.
結果:
ベースライン、5ヶ月、12ヶ月、24ヶ月時点における膵臓の体積変化(平均)は、それぞれ、
レスポンダー群:62.8±16.8、62.3±4.0、67.6±5.6、72.2±5.4
ノンレスポンダー群:58.9±13.9、62.1±4.0、64.5±5.7、65.4±5.5
非糖尿病群:62.9±15.0、61.7±4.1、63.8±5.8、65.6±5.6
となり、5ヶ月、12ヶ月時点では、3群間で有意な差はなかった。
24ヶ月時点では、レスポンダー群は非糖尿病群[6.6(95%CI 2.4~10.8)、p=0.0008]とノンレスポンダー群[6.8(95%CI 2.5~11.2)、p=0.0008]と比較して、膵臓体積の有意な増加が示された。


Lancet Diabetes Endocrinol. 2020 Oct; s2213-8587(20) 30303-X.
非糖尿病群と比較した、レスポンダー群の「フラクタル次元で測定した辺縁の不均一性」は、
24ヶ月に渡り徐々に改善(低下)し、24ヶ月時点では正常化(非糖尿病群と同等)が認められた。しかしながら、ノンレスポンダー群では正常化は認められなかった。
非糖尿病群と比較した、レスポンダー群の「インスリン分泌量(最大値)」は、24ヶ月に渡り徐々に改善(増加)し、24ヶ月時点では正常化(非糖尿病群と同等)が認められた。

Lancet Diabetes Endocrinol. 2020 Oct; s2213-8587(20) 30303-X.
24ヶ月時点における膵臓内の脂肪は、32例のレスポンダー群で1.02%(95%CI 0.53~1.51)減少し、13例のノンレスポンダー群で0.51%(95%CI -0.17~1.19)減少した。
結論:
我々の知る限り、「食事・運動療法の介入で体重が減少し2型糖尿病が寛解することで膵臓の異常形態が正常化するという可逆性」を初めて示したことになるだろう。
【参考情報】
DiRECT研究
https://www.ebm-library.jp/diabetes/trial/detail/51697.html
https://dm-net.co.jp/calendar/2018/028383.php
https://www.carenet.com/news/journal/carenet/45213
血糖値とHbA1cの単位変換用計算機