PubMed URL:https://pubmed.ncbi.nlm.nih.gov/30719865/
タイトル:Impact of body mass index on the efficacy and safety of ipragliflozin in Japanese patients with type 2 diabetes mellitus: A subgroup analysis of 3-month interim results from the Specified Drug Use Results Survey of Ipragliflozin Treatment in Type 2 Diabetic Patients: Long-term Use study
<概要(意訳)>
背景:
日本人2型糖尿病患者を対象としたSGLT2阻害薬(イプラグリフロジン50㎎/日、100㎎/日)の市販後調査データから、SGLT2阻害薬の肥満に対する有効性と安全性を調査する為にサブ解析を実施した。
方法:
2014年7月17日~2015年10月16日の間に、STELLA-LONGTERM試験に登録された日本人2型糖尿病患者11,289例のデータを3ヶ月時点で収集した。
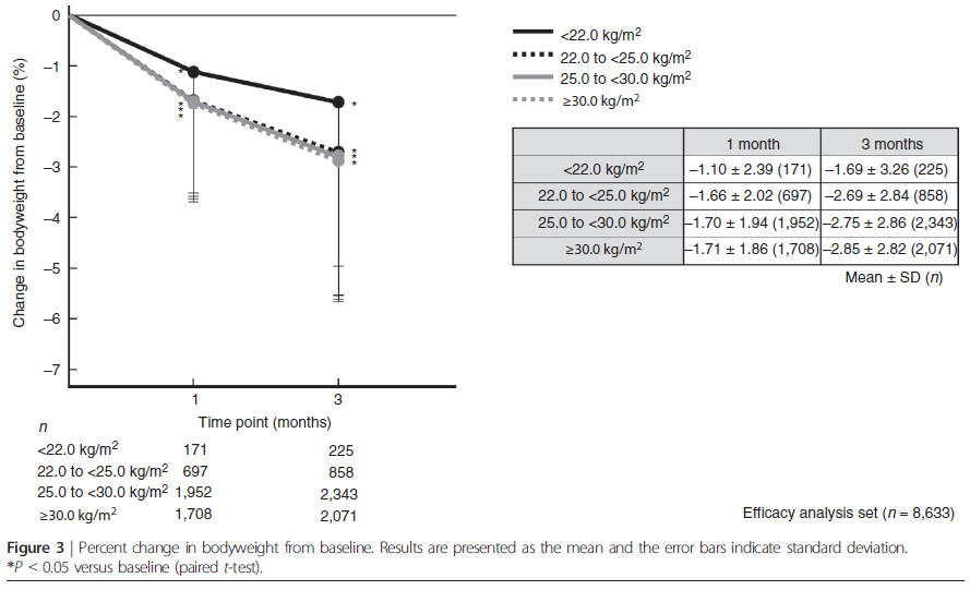
BMI(kg/m2)値を「22.0、22.0~<25.0、25.0~<30.0、≧30.0」の4つに層別化し、SGLT2阻害薬の治療3ヶ月後の有効性(体重と血糖パラメーター変化)と安全性を評価した。
結果:
分析対象となった有効性データセットは11,053例、安全性データセットは8,633例であった。
BMIデータは、有効性データセットで30.2%(2,606/8,633例)、安全性データセットで36.4%(4,022/11,053例)の欠落があった。
投与されたSGLT2阻害薬(イプラグリフロジン)の用量は、> 80%は50〜<75 mg/日、約9〜17%は<50 mg、<1%は75〜≦100mgであった。
BMIのサブグループ全体では、抗糖尿病薬と利尿薬を除いて、最も頻用された併用薬は、スタチンと降圧薬であった。
3ヶ月後の各BMIサブグループにおける「HbA1cの低下効果」は、それぞれ、
BMI 22.0:–0.60 ± 1.18 %
BMI 22.0~<25.0:–0.72 ± 1.18 %
BMI 25.0~<30.0:–2.75 ± 2.86 %
BMI ≧30:–2.85 ± 2.82 %
となり、有意な血糖コントロールの改善が認められた(全てのp<0.05)。
3ヶ月後の各BMIサブグループにおける「体重の低下効果」は、それぞれ、
BMI 22.0:–1.69 ± 3.26 kg
BMI 22.0~<25.0:–2.69 ± 2.84 kg
BMI 25.0~<30.0:–2.75 ± 2.86 kg
BMI ≧30:–2.85 ± 2.82 kg
となり、有意な血糖コントロールの改善が認められた(全てのp<0.05)が、ベースラインから3ヶ月の体重変化は、上位3つのBMIサブグループ間で類似していたが、下位のBMI<22.0の減少は小さかった。
また、各BMIサブグループにおいて、「体重の変化」と「HbA1c、ウエスト周囲、BMIの変化」の間には、強い相関関係は示されなかった。


J Diabetes Investig. 2019 Sep;10(5):1262-1271.
ADR(副作用)の発生率は、BMIの増加に比例していた[<22.0 (6.29%)、 22.0~<25.0 (8.44%)、 25.0~<30.0(11.18%)、≥30.0(11.74%)]。
重篤なADRの発生率(<1%)は、全てのBMIサブグループで低かった。
生殖器および尿路感染症、体液量減少は、上位のBMIサブグループ(25.0〜 <30.0および≧30.0)でより増加する傾向が示された。
結論:
日本人2型糖尿病患者に対してSGLT2阻害薬(イプラグリフロジン)は、BMIレベルに関わらず、血糖コントロールを改善し、体重を減らした。
副作用は、BMIが低い患者よりもBMIが高い患者の方が多く観察された。