PubMed URL:https://pubmed.ncbi.nlm.nih.gov/31699363/
タイトル:Stroke and Systemic Embolism and Other Adverse Outcomes of Heart Failure With Preserved and Reduced Ejection Fraction in Patients With Atrial Fibrillation (from the COmparison study of Drugs for symptom control and complication prEvention of Atrial Fibrillation [CODE-AF])
<概要(意訳)>
背景:
左室駆出率の保持された心不全(HFpEF:LVEF≧50%)と低下した心不全(HFrEF:LVEF<50%)を合併した非弁膜症性心房細動(NVAF)患者の脳卒中/全身性塞栓症リスクに差異があるかどうかは不明である。
方法:
2016年6月~2019年5月の間に、多施設の外来患者で心エコー検査データを有する10,589人のNVAF患者を調査対象とした。
主要評価項目は、「脳卒中/全身性塞栓症」の発症とした。
副次評価項目は、「全ての原因による死亡、心筋梗塞、大出血(ISTH基準)」の発症とした。
結果:
全体における年齢の中央値は、68(四分位範囲: 60〜75)歳で、64.8%は男性であった。
8.8%(935人)は心不全(HF)を合併しており、そのサブタイプであるHFpEFの割合は43.2%(404人)、HFrEFの割合は56.8%(531人)であった。
フォローアップ期間(1.33年)中における、「脳卒中/全身性塞栓症の発症数」は、
HFpEF合併NVAF患者:11人(年間100人あたり、2.07人)
HFrEF合併NVAF患者:5人(年間100人あたり、0.76人)
NVAF患者:102人(年間100人あたり、0.84人)であった。
「全ての原因による死亡の発症数」は、
HFpEF合併NVAF患者:7人(年間100人あたり、1.29人)
HFrEF合併NVAF患者:9人(年間100人あたり、1.36人)
NVAF患者:67人(年間100人あたり、0.55人)であった。
HFpEF合併NVAF患者の「脳卒中/全身性塞栓症の累積発症率」は、NVAF患者と比較して有意に高く(p=0.004)、HFrEF合併NVAF患者と比較しても有意に高かった(p=0.047)。
NVAF患者と比較した「全ての原因による死亡の累積発症率」は、HFpEF合併NVAF患者(p=0.03)とHFrEF合併NVAF患者(p=0.009)の双方で有意に高かった。

Am J Cardiol.2020 Jan 1;125(1):68-75.
NVAF患者と比較した「脳卒中/全身性塞栓症のリスク(調整ハザード比)」は、HFpEF合併NVAFで有意に高かった[HR 2.23(95%CI 1.19〜4.18)、p=0.01]。
NVAF患者と比較した「全ての原因による死亡のリスク(調整ハザード比)」は、HFrEF合併NVAFで有意に高かった[HR 2.05(95%CI 1.01〜4.15)、p=0.046]。

Am J Cardiol.2020 Jan 1;125(1):68-75.
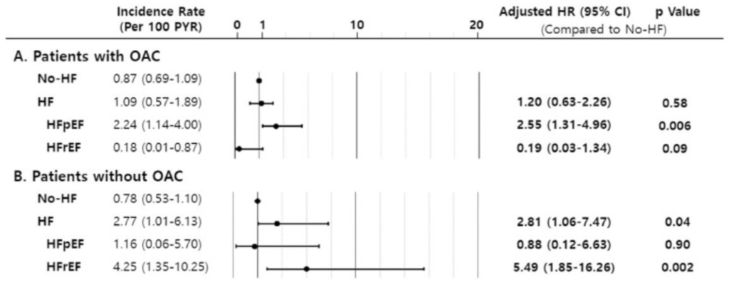
経口抗凝固薬を服用したNVAF患者と比較した「脳卒中/全身性塞栓症のリスク(調整ハザード比)」は、経口抗凝固薬を服用したHFpEF合併NVAFで、一貫して有意に高かった[HR 2.55(95%CI 1.31〜4.96)、p=0.006]。
経口抗凝固薬を服用したNVAF患者と比較した「脳卒中/全身性塞栓症のリスク(調整ハザード比)」は、経口抗凝固薬を服用したHFrEF合併NVAFで有意に高かった[HR 5.49(95%CI 1.85〜16.26)、p=0.002]。

Am J Cardiol.2020 Jan 1;125(1):68-75.
主要評価項目(脳卒中/全身性塞栓症)と副次評価項目(全ての原因による死亡、心筋梗塞、大出血)を「LVEF[左室駆出率:>61、≦61]、E/E’[イーオーバーイープライム:>10.3、≦10.3]、LA(左房)サイズ[>46.8、≦46.8]、LAVI(左房容積係数)[>54.1、≦54.1]」別にサブ解析した結果、
より大きい左房サイズ(>46.8)は、「脳卒中/全身性塞栓症のリスク(調整ハザード比)」と正の相関が認められた[HR 1.53(95%CI 1.03〜2.29)、p=0.04]が、その他との相関は認められなかった。

Am J Cardiol.2020 Jan 1;125(1):68-75.
結論:
HFpEF合併NVAF患者の「脳卒中/全身性塞栓症」リスクは、経口抗凝固薬の服用に関わらず、NVAF患者より有意に高かった。
この結果は、CHA2DS2-VAScスコアのリスク項目にHFpEFを組み込む必要があることを示唆している。
特に、左房径が大きい(>46.8mm)HFpEF患者、厳格な抗凝固療法が必要となるだろう。