PubMed URL:https://pubmed.ncbi.nlm.nih.gov/32801130/
タイトル:Risk of Anemia With Metformin Use in Type 2 Diabetes: A MASTERMIND Study
<概要(意訳)>
目的:
メトホルミンで治療された2型糖尿病患者と貧血リスクの関連と経時的な貧血リスクの変化を無作為化比較試験(RCT)と観察研究データから評価する。
方法:
貧血の定義は、ヘモグロビン値<11 g/dL(中等度低下)とした。
ロジスティック回帰分析では非線形混合効果モデルを使用し、RCTのADOPT試験(n=3,967) とUKPDS試験(n=1,473)における「血液学的パラメーターの変化と貧血リスク」を解析した。
観察研究のGoDARTS研究(n=3,485)では、離散時間ロジスティック回帰モデルを使用して、メトホルミンの累積曝露量と貧血リスクを解析した。
結果:
ロジスティック回帰分析による貧血リスクは、それぞれ、
ADOPT試験:
SU薬と比較した、メトホルミンのオッズ比は[OR 1.93(95%CI 1.10-3.38)]、チアゾリジン薬のオッズ比は[OR 4.18(95%CI 2.50-7.00)]であった。
その他の貧血リスク因子は、高齢、ベースラインのヘモグロビン(Hb)低値、男性であった。
UKPDS試験:
食事療法と比較した、メトホルミンのオッズ比は、[OR 4.42(95%CI 2.28-8.57)]、SU薬のオッズ比は、[OR 0.53(95%CI 0.19-1.48)]、インスリンのオッズ比は、[OR 1.79(95%CI 0.73-4.42)]であった。
その他の貧血リスク因子は、ベースラインのヘモグロビン(Hb)低値であった。

Diabetes Care 2020; 43: 2493-2499
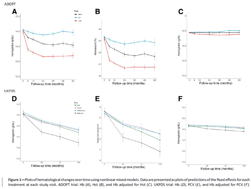
非線形混合効果モデルによるヘモグロビンの経時的変化は、それぞれ、
ADOPT試験:
ベースラインから最初の6ヶ月で、メトホルミンとチアゾリジン薬でヘモグロビン(Hb)の低下が認められた。とくにチアゾリジン薬で、その低下は大きかった。
3~5年時点で、Hbの更なる低下は認められなかった。
ヘマトクリット(Hct)低下は、Hb低下と同様であった。
5年後における平均Hb値は、SU薬と比較して、メトホルミンの方が0.42 g/dL(95%CI 0.20-0.65)低かった。
UKPDS試験:
ベースラインから3年時点の平均Hb値は、他の治療群(食事療法、インスリン、SU薬)と比較して、メトホルミンの方がHb 0.49 g/dL(95%CI 0.41-0.57)低かった。
6~9年時点でのHbは全ての治療群で低下したが、3~9年にかけての平均Hb低下値は、食事療法[0.50g/dL(95%CI -1.71-2.72)]とメトホルミン[0.49g/dL(95%CI -1.64-2.62)]で差がなかった。

Diabetes Care 2020; 43: 2493-2499
GoDARTS研究では、メトホルミン(1g/日)の使用により、年間の貧血リスクが2%高くなった。
一方で、SGLT2阻害薬 [Model3:オッズ比0.46、p<0.0001、Model4 :オッズ比:0.40、p<0.0001] の使用は、貧血の防御因子であることがEMPA-REG OUTCOME試験の結果と一致していた。



Diabetes Care 2020; 43: 2493-2499
結論:
メトホルミン治療は、2型糖尿病患者における貧血の早期リスクと関連しており、2つの無作為化試験(ADOPT試験、UKPDS試験)と1つの観察研究(GoDARTS研究)で一貫した結果が示された。
ヘモグロビンが早期に低下するメカニズムは不明であるが、経時的変化を考慮すると、ビタミンB12欠乏症だけがその原因となる可能性は低いだろう。
【参考情報】
メトホルミン服用 2 型糖尿病患者における ビタミン B12スクリーニングの有用性
https://www.jstage.jst.go.jp/article/tonyobyo/59/9/59_645/_pdf
メトホルミン長期使用がビタミンB12濃度の低下と関連