PubMed URL:https://pubmed.ncbi.nlm.nih.gov/33389140/
タイトル:Sedentary patterns are associated with BDNF in patients with type 2 diabetes mellitus
<概要(意訳)>
背景:
2型糖尿病(T2DM)患者にとって運動は有益であり、その理由の一つに、脂質の酸化と認知機能の改善に関係しているBDNF(脳由来神経栄養因子)の増加がある。
このBDNFレベルに座位時間(ST)が与える負の影響は、T2DM患者では未だ分かっていない。
本研究では、T2DM患者におけるBDNF(脳由来神経栄養因子)と座位時間のパターン(BSB)との関連をMVPA(中程度から強度の身体活動)、CRF(心肺フィットネス)と独立して調査した。
方法:
80例(女性38例)の2型糖尿病患者(平均年齢58.3±7.8歳)が対象となった。
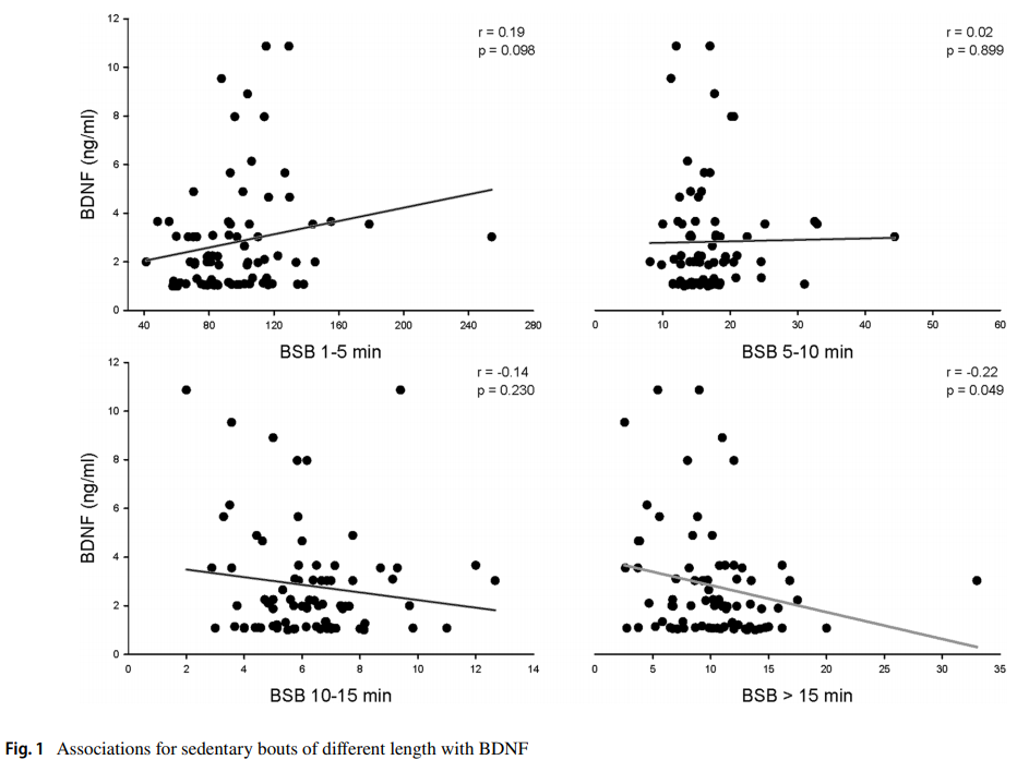
座位時間(BSB)のパターンは、「①1分~5分未満(最大4.9分)、②5分~10分未満(最大9.9分)、③10分~15分(最大14.9分)、④15分超」の4つに分類した。
座位時間(ST)と中程度から強度の身体活動(MVPA)は加速度計(≥2020cpm)、脳由来神経栄養因子(BDNF)は市販のELISA(酵素結合免疫吸着アッセイ)キット、心肺フィットネス(CRF)は電動トレッドミルを使用し測定した。

Eur J Appl Physiol. 2021 Jan 2. doi:10. 1007/s 00421-020-04568-2.
結果:
線形回帰モデルを使用し、BDNF(脳由来神経栄養因子)と「座位総時間、座位時間の中断(BST-ST)、座位時間(BSB)のパターン①、②、③、④」との関連を調査した。
「年齢、性別、2型糖尿病の罹病期間、空腹時血糖値で調整」したモデル1では、
座位時間の中断(BST-ST)とBDNFには、正の相関が認められ(p=0.007)、
BSBパターン④(15分超)とBDNFには、負の相関が認められた(p=0.049)。
「モデル1の共変量にMVPA(中程度から強度の身体活動)を加えて調整」したモデル2では、
座位時間の中断(BST-ST)とBDNFには、正の相関が認められた(p=0.019)。
「モデル1の共変量にCRF(心肺フィットネス)を加えて調整」したモデル3では、
座位時間の中断(BST-ST)とBDNFには、正の相関が認められ(p=0.009)、
BSBパターン④(15分超)とBDNFには、負の相関が認められた(p=0.047)。


Eur J Appl Physiol. 2021 Jan 2. doi:10. 1007/s 00421-020-04568-2.
結論:
2型糖尿病患者において、座位時間の中断(BST-ST)とBDNF(脳由来神経栄養因子)は「正の相関」、15分を超える座位時間(BSB)とBDNFは「負の相関」が示された。
しかしながら、1日の座位総時間とBDNFには相関が示されなかった。
BDNFが認知機能と代謝の向上に重要な役割を果たすことを考慮すると、より頻繁に休憩(座位時間を中断)し、座位時間をより短くすることは、神経変性疾患のリスクが高い2型糖尿病患者に好影響を与えることが示唆された。
【参考情報】
BDNF投与で心不全による運動能力低下が改善
http://www.qlifepro.com/news/20190123/bdnf-heart-failure-exercise.html
心不全による運動能力低下の治療法を開発
https://www.hokudai.ac.jp/news/190121_pr.pdf
脳由来神経栄養因子(BDNF)は 骨格筋機能制御および運動能力に 重要な役割を果たしている
https://www.jstage.jst.go.jp/article/jjcsc/24/1/24_81/_pdf/-char/ja
脳由来神経栄養因子(BDNF)の増やし方|脳の病気との関係